Пример 3.
Высоты
и
остроугольного треугольника
пересекаются
в точке
.
а) Докажите, что
.
б) Найдите
, если
и
. Ответ: 24.

Продолжение Примера 3

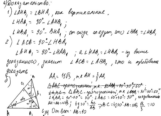
Пример 4. Высоты
и
остроугольного треугольника
пересекаются
в точке
.
а) Докажите, что
.
б) Найдите
, если
и
Ответ: 10.

Оценка эксперта: ____________






