Эластичность предложения по цене – мера чувствительности предложения к изменению цены товара.
Коэффициент эластичности предложения по цене - на сколько % изменится объем предложения на товар х при изменении его цены на 1%.
Sx %-ое изменение объема предложения товара х
E Px = %ое изменение цены товара х
или
Sx ∆Qs P
E Px = ∆P * Qs
Предложение:
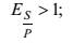
- эластичное. Если %-ое изменение цены ведет к большему %-ому изменению величины предложения.

- неэластичное. Если %-ое изменение величины предложения меньше %-ого изменения цены

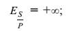
- совершенно эластичное. Если изменение величины предложения не изменяет цену.

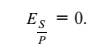
- совершенно неэластичное. Если изменение цены не приводит к изменению предложения.








