Изокванта – кривая, демонстрирующая различные варианты комбинаций факторов производства, которые могут быть использованы для выпуска данного объема продукта. Изокванты иначе называют кривыми равных продуктов, или линиями равного выпуска.
Чем дальше от начала координат расположена изокванта, тем больший объем выпуска она представляет. Карта изоквант, представляющая собой набор возможных изоквант, показывает все допустимые варианты осуществления производства.

Свойства стандартных изоквант аналогичны характеристикам кривых безразличия:
1. Изокванта, так же как и кривая безразличия, является непрерывной функцией, а не набором дискретных точек.
2. Для любого заданного объема выпуска может быть проведена своя изокванта, отражающая различные комбинации экономических ресурсов, обеспечивающих производителю одинаковый объем производства (изокванты, описывающие данную производственную функцию, никогда не пересекаются).
3. Изокванты не имеют участков возрастания (Если бы участок возрастания существовал, то при движении вдоль него увеличивалось бы количество как первого, так и второго ресурса).
Изокванты строятся на основе эмпирических данных, полученных на основе анализа конкретного производственного процесса, поэтому они несут в себе определенные характеристики этого производства.
Наклон изокванты выражает зависимость одного фактора от другого в производственном процессе, при этом увеличение одного фактора и уменьшение другого не вызывают изменений в объеме выпускаемой продукции.
Положительный наклон изокванты означает увеличение применения одного фактора потребует увеличения применения другого фактора, чтобы не сократить выпуск продукции. Отрицательный наклон изокванты показывает, что сокращение одного фактора (при определенном объеме производства) всегда будет вызывать увеличение другого фактора.
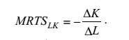
Крутизна наклона изокванты выражает предельную норму технологического замещения (MRTS), которая измеряется соотношением изменения объема выпуска продукции. Предельная норма технологического замещения трудом капитала (MRTSlk) определяется величиной капитала, которую может заменить каждая единица труда, не вызывая изменения объема выпуска продукции. Предельная норма технического замещения в любой точке изокванты = наклону касательной в этой точке, умноженному на -1:

Поскольку замещение факторов предполагает сохранение объема выпуска, то предельная норма технологического замещения оказывается тесно связанной с предельными продуктами факторов производства. Увеличение труда (∆L) означает рост объема выпуска на
Чтобы остаться на той же изокванте, необходимо компенсировать это увеличение за счет сокращения применения капитала на величину ∆K, которая даст сокращение выпуска на
Следовательно, чтобы выпуск оставался неизменным должно выполнятся равенство:

Таким образом,
т.е. предельная норма технологического замещения факторов производства = обратному соотношению их предельных продуктов.
Данное равенство говорит о том, что в любой точке изокванты предельная норма замещения одного ресурса другим = наклону касательной к точке, лежащей на изокванте.