Удобрение почв

Удобрение почв применяется на пришкольных участках, полях, садах, огородах, при выращивании посадочного материала в лесных питомниках и в лесных культурах. Для получения высоких урожаев сельскохозяйственных растений, высококаче­ственного посадочного материала плодородие почвы должно поддерживаться на высоком уровне. Вынос элементов питания из почвы растениями, вымывание их при орошении и атмосферными осадками в нижние горизонты приводит к обеднению почвы. Для поддержания необходимого уровня плодородия почвы используются органические и минеральные удобрения, а также известкование и гипсование.

Органические удобрения. Самые распространенные виды органических удобрений — навоз, компост, торф, зеленое удобрение (сидераты). Органические удобрения практически со­держат все необходимые растениям элементы питания. Они обо­гащают почву питательными веществами, существенно улучша­ют ее структуру, физические и химические свойства, а также способствуют улучшению газообмена.

Навоз — полное органическое удобрение, в котором содер­жатся все необходимые растениям элементы питания: азот, фос­фор, калий и др. Норма внесения навоза под культуры колеблется от 15 до 40 т на 1 га. На тяжелых почвах вносится 30—40 т навоза на 1 га один раз в 3—4 года, на легких почвах вносится 15—20 т через 2—3 года.

Компосты приготавливаются из торфа, земли, навоза и дру­гих материалов на специально отведенной площадке или в тран­шее глубиной 0,5—1 м (в сухих условиях). На площадку укла­дывается слой торфа толщиной 15—30 см или слой другого материала (лесной подстилки или обычной земли). На этот слой кладут такой же толщины второй слой различных отходов, смоченных водой и навозной жижей. Затем укла­дывается слой торфа или земли (10—15 см), на него слой отходов и т. д. Качество компоста значительно повышается, если слои торфа, земли, отходов равномерно перестилаются слоями навоза, атакже при равномерном добавлении в него гашеной извести и золы (3% от веса компостируемого материала). Сверху компост­ная куча прикрывается слоем земли толщиной 10 см, периодически поливается водой и перелопачивается. Компост считается готовым, когда он превращается в однородную, легко рассыпающуюся массу.

Сидеральное (зеленое) удобрение применяется на легких пес­чаных почвах. Посеянные на поле или на питомнике бобовые растения (люпин, горох, вика и др.) в период окончания цветения за­пахиваются на глубину 20—25 см. Попав в почву, такие удоб­рения обогащают ее главным образом азотом и улучшают струк­туру.

Минеральные удобрения. К минеральным удобре­ниям относятся химические вещества, содержащие один или не­сколько элементов питания растений. В зависимости от содержа­ния элементов питания минеральные удобрения делятся на азотные (селитры, сульфат аммония и др.), фосфорные (супер­фосфат, фосфоритная мука и др.), калийные (калийная соль, хлористый калий и др.) и сложные, содержащие не один, а два или три элемента (аммофос: азот и фосфор, нитрофоска: азот, фосфор, калий).

Удобрения, которые содержат в своем составе микроэлемен­ты, называются микроудобрениями; сернокислый марганец, медный купорос, сернокислый цинк, бура, молибденовокислый ам­моний и др.

Азотные удобрения (в основном белого цвета) влияют на рост и увеличение органической массы растений. Особенно эффективно внесение азотных удобрений в нечерноземной полосе и во влажных райо­нах лесостепи, так как в этих районах фосфорные и калийные удобрения могут дать положительный эффект лишь при обеспе­ченности растений азотом. Азотные удобрения вносятся обычно в первой половине вегетационного периода как основное удобре­ние и в виде подкормок.

Фосфор как элемент питания участвует в построении клеточ­ного ядра, фотосинтезе, играет большую роль в создании орга­нической массы растений. Фосфорные удобрения (серого цвета) особенно необ­ходимы молодым растениям (у них слабо развита корневая система) и в период под­готовки к зиме. Недостаток фосфорного питания в эти периоды отрицательно сказывается на развитии. Фосфорные удобрения слабо всасываются, поэтому вносятся в тече­ние всего вегетационного периода.

Калийные удобрения (красноватые) применяются на фоне фосфорных удобрений. Они наиболее эффективны на супесчаных, мелкозернистых подзолистых почвах. В калийных удобрениях растения нуждаются на серых лесных суглинках, оподзоленных и выщелоченных черноземах. Калий оказывает положительное влияние на созревание плодов, усиливает сопротивляемость растений к неблагопри­ятным внешним условиям. Калий, как и фосфор, можно вносить в течение всего вегета­ционного периода.

На легких почвах удобрения вносятся чаще, но меньшими доза­ми. На малоплодородных почвах применяются в основном органиче­ские удобрения. В засушливых условиях при недостаточном за­пасе воды нормы азотных и калийных удобрений снижаются.

Существуют три основных способа внесения удобрений: основное (допосевное), припосевное и подкормка. Допосевное (основное): удобрениеравномерно разбрасывается по площади перед вспашкой и заделывается на глубину 25—30 см. Так вносится навоз, торф, компост и около двух третей минеральных удобре­ний, которые нужно внести под данную породу.

Припосевное: удобрениевносится в небольших количествах при посеве семян. Внесение удобрений в непосредственной близости от семян позволяет полнее обеспечить растения элементами пи­тания в самом начале их роста. Вносят удобрения в гранулиро­ванном виде одновременно с посевом семян.

Подкормка — внесение удобрений в сухом или растворенном виде во время роста растений.

При повышенной кислотности (рН = 5,0 и ниже) почвы изве­сткуют путем внесения (лучше осенью под зяблевую вспашку) от 1 до 4 т извести на 1 га. Внесенная в почву известь на лесных подзолистых почвах действует в течение 10—15 лет. Она поло­жительно влияет на агрохимические свойства почвы, усиливает действие органических и минеральных удобрений, а также повы­шает жизнедеятельность полезных микроорганизмов.

Гипсование почв проводится при их засолении. На участках с вкраплениями солонцов вносят в размолотом виде от 2 до 10т гипса на 1 га. Гипс равномерно рассеивается по площади с последующим заделыванием в почву.

При выращивании лесных культур особенно эффективно вне­сение азотных удобрений (мочевины, аммиачной селитры) или сложных (нитроаммофоски), так как при полосной подготовке почвы большая часть гумусового горизонта удаляется из борозды и растения испытывают азотное голодание. На глаз азотное голодание определяется по укороченной и более светлоокрашенной с желтеющими кончиками хвое, уменьшенному приросту стволиков в высоту по сравнению с одновозрастными деревьями, растущими в лучших условиях питания.

По данным В.П.Ливенцева и В.Г.Атрохина, внесение азотных удобрений (1—2 ц на 1 га) на дерново-подзолистых и подзолистых суглинистых почвах повышает содержание подвижных форм азота в 1,5—2 ра­за и в течение 2—5 лет обеспечивает увеличение прироста ели, сосны и лиственницы по диаметру и в высоту на 15—30%. Общая масса деревьев увеличивается в 1,2—2 раза по сравнению с контрольными. Удобрения наиболее эффективно действуют при их внесении на приствольные круги радиу­сом 1—1,5 м.

Подкормку хвойных культур в 2—3-летнем возрасте азотны­ми удобрениями следует проводить одновременно с внесением гербицидов (химикатов, уничтожающих сорняки), так как при внесении удобрений разрастается и сорная растительность. Хвойные породы по-разному относятся к затенению разраста­ющейся травянистой растительностью и к гербицидам: ель более вынослива, чем сосна и лиственница. По­этому минеральные удобрения совместно с гербицидами реко­мендуется применять в культурах ели начиная со второго-треть­его года после посадки, а в культурах сосны и лиственницы — в возрасте 5 лет и старше. Подкармливаются лесные культуры только при высокой их со­хранности (не менее 80%) и только после того, как они будут полностью или большей частью освобождены от нежелательных лиственных пород.

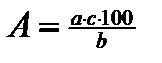
Потребность в удобрениях в зависимости от дозы, вида удобрений и площади рассчитывается по следующей формуле:

где А — количество удобрений, кг на 1 га;

а — доза элемента питания, кг на 1 га;

с — площадь удобряемого участка, га;

Ь — процент действующего вещества.

На участке ели на второй-третий год после посадки требуется внести 100 кг азота на 1 га. Под ель и лиственницу 8—10-летнего возраста на легко- и среднесуглинистых дерново-подзолистых и подзолистых почвах вносится 200 кг азота на 1 га (сосны в этих условиях не подкарм­ливаются). Такое же количество азота вносится под сосны и лиственницы 6—8 лет на песчаных и супесчаных дерново-подзолистых почвах.

При работе с удобрениями необходимо соблюдать следующие правила техники безопасности:

а) для защиты органов дыхания используйте ватно-марлевые повязки или респираторы;

б) наденьте резиновые перчатки, специальные халаты или комбинезоны, защитные очки;

в) во время работы с химикатами не принимайте пищу;

г) по окончании работы тщательно вычистите одежду, вымой­те лицо и руки хозяйственным мылом и прополощите рот;

д) неиспользованные удобрения и пустую тару возвратите на склад;





Подборка статей по вашей теме: