Первичные номинальные токи обмоток:


Соединение вторичных обмоток трансформатора тока на первичной стороне (стороне ВН) -
; на вторичной стороне (сторона НН) – Y.
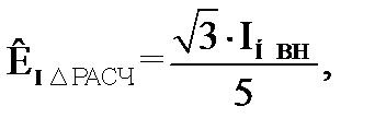
Расчётный коэффициент трансформации трансформаторов тока, соединенных в ∆ и Y: на стороне ВН
на стороне НН 
По справочнику выбираем ТТ для стороны ВН и НН с большим коэффициентом трансформации.
Для выбранных по справочнику значениях коэффициента трансформации трансформаторов тока KI∆ и KIY – токи в плечах защиты (т.е. вторичные токи ТТ подтекающие к дифференциальным реле) при номинальном первичном токе будут равны:

В дальнейшем при расчетах в первую очередь будут необходимы токи КЗ. Максимальное значение тока в обмотках трансформатора при внешнем трёхфазном КЗ (для определения небаланса при внешнем КЗ) 
Минимальное значение тока в обмотках трансформатора при трёхфазном КЗ на выводах НН (для проверки чувствительности защиты при КЗ в зоне действия)
-на среднем ответвлении РПН
,
-на крайнем ответвлении РПН
.






