В консалтинговое агентство обратилось руководство медицинского учреждения за помощью в разрешении комплекса проблем, возникших в клинике. Описывая проблему руководитель учреждения не смог структурировать информацию и определить, в чем, что явилось той «последней каплей», которая привела его в консалтинговое агентство. На все вопросы он отвечал, что для нормальной работы клиники недостаточно финансирования, не хватает лекарств и расходного материала, нужно делать ремонт, но здание относится к историко-архитектурным памятникам и ремонт сделать очень сложно, практически не возможно из-за ограничений законодательства по сохранности памятников. Клиника испытывает проблемы с персоналом, значительная часть которого имеет еще одно место работы и не в состоянии с полной отдачей работать по основному месту работы.
После долгой беседы с руководителем клиники, сотрудники, которым предстояло распутать клубок проблем, задумались о том с чего начать и что надо сделать, чтобы реально помочь руководству клиники в кратчайшие сроки.
Поскольку нам предстоит выявить все проблемы, которые не смог формализовать руководитель медицинского учреждения, то возможно, что сами сотрудники в состоянии указать, в чем клиника использует наибольшие трудности и где то «узкое горлышко» в процессах, которые мешают развитию организации. Однако для исследования и формирования полной картины проблем необходимо собрать первичную информацию, отражающую степень удовлетворенности персонала. Одним из эмпирических методов, с помощью которого формируется массив первичной информации, является метод наблюдения, а наиболее распространенным видом наблюдения является анкетирование - метод письменного опроса, когда сбор информации и ее анализ осуществляется на основе анкет (вопросников).
Исследование проводилось путем анонимного анкетирования с участием квалифицированных сотрудников-социологов на территории медицинского учреждения, что позволило снизить вероятность неправильного понимания вопросов и фальсификацию анкет. При анкетировании использовался метод квотной выборки, когда модель структуры генеральной совокупности строится пропорционально численности персонала в каждой категории служащих организации (администрация, врачи, средний и младший медицинский персонал, сервисный персонал). Вопросы анкеты были структурированы по группам:
1. Общая оценка удовлетворенности персонала.
2. Углубленная оценка степени удовлетворенности персонала.
3. Оценка удовлетворенности персонала организацией и содержанием трудовой деятельности
Для достижения целей исследования был разработан комплекс анкет, вопросы которых представлены в табл. П.1.1.
Таблица П 1.1 - Вопросы анкеты по исследованию удовлетворенности и лояльности персонала медицинского учреждения
| Категория вопроса | Вопрос |
| Общая оценка удовлетворенности персонала | |
| Эффективность работы персонала | Я хорошо представляю цели и задачи моего отделения |
| В институте налажена коммуникация между руководителями и сотрудниками | |
| Сотрудников поощряют находить новые и эффективные пути решения задач организации управления | |
| Большинство сотрудников института делают все возможное для обеспечения высокого качества услуг | |
| Уровень профессионализма сотрудников соответствует самым высоким требованиям | |
| Низкая эффективность работ у нас недопустима | |
| В подразделениях развита практика делегирования полномочий | |
| Сотрудники берут на себя ответственность за результаты работы | |
| В институте налажено взаимодействие между подразделениями | |
| Отделения хорошо оснащены высокотехнологичным оборудованием | |
| Функциональность оборудования используется в полном объеме | |
| Уровень психологического комфорта | Я считаю, что у нас доброжелательный коллектив |
| В институте к сотрудникам относятся с доверием и уважением | |
| В нашем институте я открыто могу высказать свое мнение | |
| Я считаю, что в коллективе не распространены "политические" игры | |
| К мнению каждого сотрудника у нас прислушиваются | |
| Я с удовольствием иду на работу | |
| У меня есть все условия для профессионального роста | |
| Уровень лояльности | У сотрудников высокий уровень профессиональной активности |
| Большинство сотрудников института делают все возможное для обеспечения высокого качества услуг | |
| За время моей работы институт изменился к лучшему | |
| В институте достаточно возможностей для повышения квалификации | |
| Я бы рекомендовал институт как хорошее место работы | |
| Я горжусь тем, что работаю в институте |
| Углубленная оценка степени удовлетворенности персонала | |
| Мотивация | Материальное вознаграждение |
| Вознаграждение за оказание платных услуг | |
| Связь оплаты труда с результатами работ | |
| Возможности карьерного роста | |
| Возможности для повышения квалификации | |
| Уважение руководства | |
| Корпоративная культура | Доброжелательность сотрудников друг к другу |
| Позитивный настрой | |
| Наличие духа единой команды | |
| Взаимная поддержка | |
| Наличие легенд в институте | |
| Качество информации об истории института | |
| Доступность и качество информации | Доступность электронных ресурсов Доступность других носителей информации Качество предоставляемой информации Оперативность информации Доступность информации о достижениях в научно-исследовательской работе института |
| Оценка удовлетворенности персонала организацией и содержанием трудовой деятельности | |
| Закупки | Закупка расходных материалов |
| Закупка медикаментов | |
| Закупка оборудования | |
| Управление запасами | |
| ИТ-поддержка | ИТ-поддержка |
| Планирование, внедрение новых технологий | |
| Качество информации | |
| Доступность информации | |
| Информационное обеспечение профессиональной деятельности | |
| Управление персоналом | Расчет заработной платы из внебюджетных средств |
| Подбор персонала | |
| Обучение/ переподготовка персонала сервисных служб | |
| Расчет и начисление заработной платы по бюджету | |
| Разработка и обеспечение системы мотивации персонала | |
| Управление карьерой | |
| Связь с ОК (отдел кадров) | |
| Оценка качества работы персонала | |
| Инфраструктура | Степень новизны контрольных и измерительных приборов, наличие документации |
| Процесс принятия инвестиционных решений по закупке оборудования | |
| Обеспечение условий для работы (помещения, оборудование) | |
| Услуги ИТ-подразделения | |
| Маркетинг и продажи | Маркетинговые исследования |
| Маркетинговые мероприятия | |
| Продажи через страховые компании | |
| Продажи платных услуг |
| Менеджмент, лидерство, персонал | Подготовка аналитической информации для управленческих принятия решений |
| Планирование и ведение НИР и ОКР | |
| Осуществление краткосрочного планирования | |
| Инвестиционный процесс (закупка оборудования, развитие инфраструктуры и т.д.) | |
| Процесс принятия управленческих решений | |
| Процесс проведения заседаний | |
| Подготовка и принятие инвестиционных решений | |
| Анализ и контроль со стороны высшего руководства, осуществление внутреннего аудита | |
| Бюджетное планирование | |
| Основные операции | Медицинское сопровождение клиента после выписки Диагностика Оценка эффективности лечения Выписка Прием, управление потоком пациентов Регистрация Удовлетворенность персонала качеством собственной работы, работой коллег, работой института как единого целого |
Для оценки общей степени удовлетворенности и лояльности персонала была выбрана модифицированная шкала Лайкерта (Шкала оценки: 1 –не согласен; 2 - Скорее не согласен; 3 -Скорее согласен; 4 -Согласен). Для углубленного исследования удовлетворенности персонала по таким категориям вопросов как «Оценка уровня корпоративной культуры», «Оценка организации и содержания трудовой деятельности», «Доступность и качество информации» участники исследования сочли необходимым проанализировать как значимость вопроса, так и степень удовлетворенности (Шкала оценки значимости: 1 - Затрудняюсь ответить; 2 - Наименее значимый фактор; 3 - Скорее не значимый фактор; 4 - Скорее значимый фактор; Шкала оценки удовлетворенности: 1 - Затрудняюсь ответить; 2 - Полностью не удовлетворен; 3 -Скорее не удовлетворен; 4 - Чем-то удовлетворен, чем-то нет; 5 - Полностью удовлетворен). Эта же шкала использовалась при оценке удовлетворенности персонала организацией и содержанием трудовой деятельности.
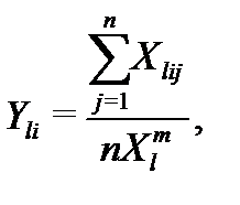
Результаты анкетирования представлены в файлах medical.xls на листах: 1 - Информация о сотрудниках, 2 - общая оценка удовлетворенности персонала, 3 - углубленная оценка удовлетворенности персонала, 4 - оценка удовлетворенности персонала организацией и содержанием трудовой деятельности. Для анализа результатов анкетирования возможно применение дескриптивного анализа, в основе которого лежит использование таких статистических мер как средняя величина, мода, медиана, среднее квадратическое отклонение и др. Кроме того, широкое применение находит индексный метод, при котором значение индекса удовлетворенности/лояльности
, формируется на основе каждого вопроса анкеты в разрезах, характеризующих удовлетворенность /лояльность персонала по формуле:

где
– показатель удовлетворенности потребителей образовательных услуг для каждой категории потребителей (магистр, бакалавр, выпускник),
в разрезе исследуемой проблемы
;
– сумма ответов по каждому вопросу анкеты для каждой категории потребителей образовательных услуг;
— максимально возможное значение результата анкетирования по проблеме
;
– номер респондента в каждой категории потребителя (
.
1. Что бы вы предприняли на месте сотрудников, которым предстоит разобраться в проблемах клиники?
2. Что понимается под системой стандартизации в здравоохранении? Что является объектами стандартизации в медицине?
3. В чем состоят особенности такого объекта стандартизации как «Оказание медицинских услуг»?
4. Какие отраслевые уровни можно выделить в процессе оказания медицинских услуг? Разработайте структурную схему отраслевого взаимодействия в медицине.
5. Опишите цепочку создания ценности при оказании медицинских услуг. Какие бизнес-процессы вы могли бы отнести к основным, а какие, на ваш взгляд, относятся к вспомогательным бизнес-процессам при предоставлении медицинских услуг в стационаре?
6. Какие ключевые цели, на ваш взгляд, стоят перед каждым медицинским учреждением?
7. Выделите основные направления, по которым следует провести обследование при необходимости оказания консалтинговых услуг.
8. Разработайте алгоритм предстоящего исследования, отобразив основные задачи, которые предстоит решить сотрудникам при оказании консалтинговых услуг медицинскому учреждению. Опишите, какие задачи будут решены на каждом этапе и сможете ли вы в завершении представить комплексное решение проблем для руководителей клиники?
9. Члены проектной команды на первом этапе определили направление исследования, связав его с необходимостью изучения степени удовлетворенности и лояльности персонала. Объясните позицию консалтингового агентства, обоснуйте или опровергните правильность данного решения.
10. Определите в рамках данного направления цели и задачи исследования, объект и предмет исследования.
11. Чем, на ваш взгляд, обусловлен выбор метода сбора информации? Какие методы сбора информации вам известны? Опишите достоинства и недостатки каждого из них.
12. В чем заключается процесс очистки и трансформации данных? C какой целью он проводится? С какими рисками связан процесс очистки данных? Назовите меры, которые следует применять для снижения рисков при очистке данных.
13. Просмотрите внимательно анкеты и отобразите графически структурную схему вопросников, учитывая категорию респондента, категорию вопроса и вопросы в категории.
14. В какой степени каждая группа сотрудников лояльна к организации?
15. Как оценивают сотрудники возможность повышения квалификации?
16. Как оценивает каждая группа сотрудников уровень психологического комфорта?
17. Как оценивает персонал эффективность бизнес-процессов в организации?
18. Используется ли функционал оборудования медицинского учреждения в полном объеме? Каково на этот счет мнение каждой группы респондентов?
19. На сколько хорошо оснащены подразделения оборудованием? К мнению какой группы респондентов стоит прислушаться?
20. Как оценивает персонал уровень материального вознаграждения?
21. Удовлетворен ли персонал уровнем информационной поддержки?
22. Какие из процессов являются наиболее важными с точки зрения персонала и в какой степени он удовлетворен организацией этих процессов?
23. Реализацией каких процессов персонал (по категориям) удовлетворен в меньшей степени?
24. Можно ли согласиться с персоналом, что часть сформулированных вопросов не является значимой для работы организации. Обоснуйте свое мнение.
25. Проведите исследование удовлетворенности и лояльности персонала по разработанной вами программе.
26. Рассчитайте интегральный показатель удовлетворенности персонала в каждой категории служащих.
27. Сформулируйте выводы и предложения по результатам проведенного исследования.
[1] Кохановский В.П. Философия и методология науки. Учебник для высших учебных заведений.‒ Ростов н/Д.: «Феникс», 1999 г. ‒ 576 с. IBSN 5-222-00502-Х
[2] Актор — непосредственный участник экономической деятельности, субъект хозяйствования.
[3] Тейл Г. Экономические прогнозы и принятие решений. М.: Статистика, 1971.
[4] Лапыгин Ю.Н. Экономическое прогнозирование: учебник / Ю.Н. Лапыгин, В.Е. Крылов, А.П. Чернявский. ─ М.: Эксмо, 2009. ─ 256 с. ─ (Высшее экономическое образование).
[5] По результатам исследования "Предпринимательский климат в России: Индекс ОПОРЫ 2010-2011"
[6] Robert C. Camp, a Xerox Corporation manager, author of Benchmarking: The Search For Industry Best Practices, and one of the foremost benchmarking experts at Xerox Corporation
[7] 0 – соответствует базисному периоду, 1 –отчетному периоду
[8] https://sophist.hse.ru/hse/indexn.html - сайт ВШЭ, Единый архив социологических и экономических данных
[9] Электронный учебник StatSoft. https://www.statsoft.ru/
[10] Электронный учебник StatSoft. https://www.statsoft.ru/
[11] Индекс развития малого и среднего предпринимательства в регионах России в 2010 году Информационно-аналитический доклад. (с) 2001-2012 АНО «НИСИПП»
[12] Психологические тесты. Т.2. Под ред. А.А. Карелина. - М., ВЛАДОС, 1999, стр. 99






