3.1. Назначение программы
Программа MathCAD предназначена для выполнения вычислений, записанных на экране монитора в привычном для человека виде (как на бумаге). Могут выполняться как простые вычисления выражений, функций, сумм, интегралов и т.д., так и сложные расчеты в соответствии с программой с использованием типовых операторов (if, for, while).
Английские символы программы вводятся с клавиатуры, а команды и операторы – через меню MathCAD («Арифметические инструменты», «Меню графиков» и др.) или с помощью «горячих» клавиш.
Результаты работы представляются в символьном (значения, таблицы, матрицы) или графическом (линии, поверхности) виде.
3.2. Ввод данных
В MathCAD используются числовые или символьные данные (величины). Для числовых данных можно записать программу, пример которой показан на рис. 3.1а. Числа и знаки математических операций можно вводить с помощью «мыши» из меню «Арифметические инструменты» или через клавиатуру («*» - умножение, «/» - деление и т.д.). Вывод результата обеспечивается командой (символом) «=».
|
|
|

Рис. 3.1
Символьной переменной (букве английского алфавита) необходимо присвоить числовое значение с помощью оператора присваивания (:=) из того же меню или с помощью клавиатуры (Shift «;»), пример показан на рис. 3.1б.
Строчные и прописные символы одной буквы определяют разные переменные.
Можно определить матричную переменную, заполнив позиции для ввода чисел, как показано на рис. 3.1в.
Одномерный массив (матрица - столбец) может задаваться перечислением, как показано на рис. 3.2а. Первое число соответствует начальному элементу массива, второе (вводимое через запятую) - следующему элементу (их разность равна приращению), а третье (вводимое через символ точка с запятой) – последнему элементу массива чисел. Результат представлен ниже записи массива на рис. 3.2а и получен вводом символа «=».

Рис. 3.2
С помощью одномерного массива задаются индексы элементов другого массива, как показано на рис.3.2б для одномерного и на рис. 3.в для двумерного массивов (как видно, это уже программы вычислений). Если в определении одномерного массива пропущен средний элемент, то шаг равен 1.
3.3. Операторы и функции
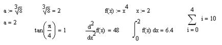
В программе MathCAD реализован широкий набор операторов (алгоритмов преобразования чисел) в меню «Арифметика», «Математика», «Матрицы». Это простые операторы (сложение, вычитание и т.д.), простые функции (тригонометрические, экспоненциальная, степенная функции и т.д.), суммы, произведения, производные и интегралы, матричные операции. Примеры применения операторов и функций показаны на рис. 3.3.

Рис. 3.3
Программа MathCAD позволяет использовать огромный набор элементарных и специальных функций с помощью меню «Вставить функцию».
|
|
|
3.4. Графики
Программа позволяет строить графики функций и одномерных массивов в декартовых или полярных координатах (примеры показаны на рис. 3.4.). Имеется возможность построения трехмерных графиков функций или массивов двух переменных в виде поверхности, контурного или точечного графика, трехмерной диаграммы или векторного поля (соответствующие примеры приведены на рис. 3.5).
Как видно, имеются разнообразные возможности представления графической информации, из которых необходимо выбирать тот, который соответствует решаемой задаче.

Рис. 3.4
Параметрическое описание функций двух переменных позволяет реализовать трехмерный массив данных, по которым можно построить трехмерную поверхность в различных видах, пример программы показан на рис. 3.5.
3.5. Программирование
В MathCAD предусмотрены развитые возможности программирования с помощью условного оператора if (если), операторов цикла for (для) и while (пока) и вспомогательных операторов программирования, например, add line (добавить строку программы) и ряд других. С их помощью можно реализовать разнообразные сложные вычислительные программы.
Пример применения оператора if показан на рис. 3.6. В этой программе формируется функция вида
(3.1)

Рис. 3.5
График функции показан на рис. 3.6.

Рис. 3.6
На рис. 3.7 показан пример применения оператора цикла for для вычисления таблицы перемножения целых цифр 0,1,...,9, результат приведен в таблице на том же рисунке.
Пример применения оператора while приведен на рис. 3.8. В нем определяется максимум функции (3.1), показанной на рис. 3.6. В программе реализован простейший алгоритм перебора значений аргумента от минимального значения
с шагом
до тех пор, пока функция нарастает, то есть пока величина
положительна. Результат равен
, что близко к истинному значению переменной
.

Рис. 3.7

Рис. 3.8