Нагрузки на 1 м2 площади настила (КН/м2)
| Наименование нагрузки. | Нормативная нагрузка. | Коэф-т надежн. по нагрузке | Расчетная нагрузка. |
| Постоянная нагрузка: | |||
| 1)Рулонная трехслойная кровля | 0,09 | 1,3 | 0,117 |
2)Цементная стяжка = 2 см | | 1,3 | 0,468 |
3)Утеплитель полистирольный пенопласт | | 1,2 | 0,060 |
| 4)Пароизоляция – 1 слой пергамина | 0,02 | 1,2 | 0,024 |
| 5) Собственный вес настила (предварительно толщина досок 0,019 м +50% веса досок на обрешетку) | 0,019 5+0,05==0,15 | 1,1 | 0,165 |
| Всего: | gн = 0,670 | g =0,834 | |
Временная: Снеговая нагрузка кН/м,2, где | 1,26 | 1/0,7 | S = 1,8 |
I. Подбор сечения досок и проверка прочности настила:
1. При первом сочетании нагрузок:
Нормативная:

Расчетная:

(МН/м)
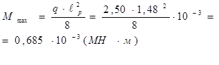
Максимальный момент:

Требуемый момент сопротивления сечения настила:

= 53 (см3)
Расчетная ширина настила
,
Требуемый момент сопротивления сечения, см3:
,
Требуемая
толщина досок, см:
,

Принимаем доски толщиной 
Геометрические характеристики сечения настила:


Напряжения изгиба:


Проверка прогиба настила:

2. При втором сочетании нагрузок.
|
|
|
Постоянная

Монтажная 

Максимальный момент под сосредоточенной силой:
Прочность при 2-м сочетании нагрузок:
коэффициент, учитывающий кратковременность действия сосредоточенной силы табл.6 [1] *Примечание: в состав коэффициентов условий работы настила входят коэффициенты, оговоренные п.3.2. [1], а также коэффициент перехода породы mп табл.4 [1] ..
Настил щита изготавливаем из досок (15 шт.) 100 х 19
мм. Каждая доска настила присоединяется к раскосам и поперечинам двумя гвоздями

6.2. Пример расчета многопролетного консольно-балочного прогона.
Данные в примере 6.1.
Пролет прогона 4,5м


1) Определим ориентировочную нагрузку от прогона: Нормативная: 
Расчетная: 
Где кс.в.= 2….4 – коэффициент собственного веса прогона
Нагрузки на 1 погонный метр пролета прогона:
Нормативная:
где
шаг прогонов.
Скатные составляющие нагрузок воспринимаются настилами, которые закрепляют прогон от косого изгиба. Расчетная схема прогона – неразрезная многопролетная балка (Рис. 10).

слева и справа от опор (равномоментный вариант).
Максимальный момент:

Требуемый момент сопротивления:

Задаемся отношением высоты сечения прогона к его ширине (h:в = 1,3…1,5)
и определяем требуемую высоту сечений: 

Принимаем прогон из бруса сечением h
в = 15
10см.
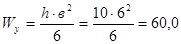
Геометрические характеристики сечения:

Напряжения изгиба:
.
Относительный прогиб прогона:

В равномоментных консольно-балочных прогонах необходимо проверить сечение прогона в крайних пролетах, т.к. на первой промежуточной опоре изгибающий момент больше:

Требуемый момент сопротивления:

При h=0,15 м (высота принятого прогона в средних пролетах) ширина:
|
|
|
)
Принимаем сечение прогонов в крайних пролетах равным

Проверим прогиб в крайнем пролёте:

Где
- момент инерции прогона в крайних пролётах.
6.3. Пример расчета щитовой обрешетки.
Задача. Рассчитать и запроектировать щитовую обрешетку под холодную кровлю из профилированных листов марки Н57-750-0,7. Основная несущая конструкция – рама пролетом L = 20 м. и шагом расстановки В = 3 м. Уклон верхнего пояса ригеля рамы i = 1:2,5 (cos
= 0.928, sin
= 0.371). Место строительства – район г. Челябинск.
1) Выбор конструктивной схемы и назначение размеров.
Максимальные размеры щитовой обрешетки 3
2м. Обрешетка состоит из 3-4 прогонов, опирающихся на три стойки щита, и соединяющихся между собой двумя раскосами. Бруски крайних стоек решетки щита прибиваются к верхнему поясу ригеля рамы, обеспечивая устойчивость сжатых поясов основных несущих конструкций из плоскости.
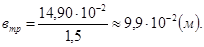
Длина щита обрешетки l = В = 3м., ширину подбираем после определения длины верхнего пояса ригеля:

Ширина щитовой обрешетки:

n = 6 – целое число щитов, т.е. на верхний пояс полурамы укладывается 6 щитов. Проектируем щит из четырех прогонов сечением
с шагом расстановки
= 0,445м., тогда ширина щита равна:
во = 4
0,445 = 1,78(м).
2) Сбор нагрузок на 1 пог.м. пролета обрешетины.
| Наименование нагрузки. | Нормативная нагрузка кН/м | Коэффициент надежности по нагрузке | Расчетная нагрузка КН/м |
Постоянная нагрузка 1) Профнастил Н57-750-0,7 . = 0,15 кН/м2 | 0,06675 | 1,05 | 0,0701 |
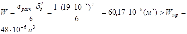
2) Обрешетины ( ) | 0,030 | 1,1 | 0,033 |
| 3) Решетка щитов (50% от веса обрешетки) | 0,0125 | 1,1 | 0,014 |
Временная нагрузка Снеговая расчётная | 0,561 | | 0,801 |
Итого: qн = 0,670 q = 0,978
Т.к. обрешетины работают на косой изгиб, определяем составляющие нагрузки:
а) перпендикулярная скату:
(кН/м),
(кН/м);
б) параллельная скату:
(кН/м),
(кН/м);
3) Проверка подобранных размеров щитовой обрешетки
В плоскости, перпендикулярной скату обрешетина работает как разрезная балка, а в плоскости ската – как двухпролетная неразрезная балка с пролетом l1 = 0,5 l = 1,5м. (рис. 10).
Моменты в обеих плоскостях:


Геометрические характеристики сечения обрешетины:
(см3);
(см3);
(см4);
(см4).
Проверка прочности обрешетины:

*Примечание: в состав коэффициентов условий работы настила входят коэффициенты, оговоренные п.3.2. [1], а также коэффициент перехода породы mп..
Проверка относительного прогиба прогона:

Учитывая, что нагрузка от собственного веса незначительная, проверяем прочность обрешетины при действии сосредоточенной силы (монтажного груза Рн = 1 КН).
Расчетная монтажная нагрузка, кН:

Момент от действия монтажной нагрузки:

Прочность при действии монтажной нагрузки, МПа:
,
где mн = 1,2 – коэффициент, учитывающий кратковременность действия монтажной нагрузки.
4) Расчет прикрепления элементов щита.
Полная скатная составляющая, приходящаяся на весь щит, кН:
, где n – количество обрешетин.
Часть этой нагрузки передается непосредственно от прогонов на крайние стойки. Оставшаяся часть скатной составляющей (75%) передается через раскосы на упорные бобышки. Усилие, воспринимаемое одной бобышкой, кН:

а) Бобышки к стойке крепим гвоздями 4 х 100 мм. Несущая способность одного среднего гвоздя, кН:
.
Необходимое число гвоздей
,
принимаем три гвоздя.
б) Крайние стойки щита прибиваем гвоздями 4
120 мм, к верхнему поясу несущей конструкции. Через них скатная составляющая от щита передается поясу.
Необходимое число гвоздей на одну стойку:

принимаем 4 гвоздя.
в) На среднюю стойку от обрешетины передается нагрузка
равная средней опорной реакции двухпролетной балки, нагруженной равномерно-распределенной нагрузкой, кН:

Следовательно, в каждое пересечение элемента решетки с прогоном ставим по одному гвоздю размерами 4
100 мм.
6.4. Пример расчёта двойного перекрестного настила.
При конструировании двойного дощато-гвоздевого настила доски верхнего защитного слоя настила проектируем толщиной 16 мм и шириной 100 мм. Его крепят гвоздями к рабочему настилу под углом 450
600 . Доски рабочего настила располагают разреженно или сплошным рядом вдоль щита. Зазор между досками рабочего настила рекомендован в пределах
Щит настила опирают на 3 прогона. Размеры щита назначают после определения длины верхнего пояса основной несущей конструкции (полурамы, полуарки, полуфермы и т.д.)
|
|
|
Для полурамы (Lрам = 20м) длина верхнего пояса равна, м:
; i=1:5=0,2;
;
С учетом конструктивных требований принимаем длину щита:
;
ширину щита:
2м,
где n1 и n2 – целые числа, показывающие количество щитов.
Сбор нагрузок на 1 м2 площади настила.
| Наименование нагрузок. Подсчет нагрузок. | Нормат. нагр. Кн/м2 | | Расчетные нагрузки |
I. Постоянная: 1. Рулонная трехслойная кровля 2. Щиты настила Защитный слой ; 0,016 . 5 Рабочий слой ; 0,019 . 5 . 0,7 | 0,09 0,08 0,07 | 1,1 1,1 1,1 | 0,099 0,088 0,077 |
| Всего | gn =0,24 | – | g=0,264 |
| Снеговая нагрузка | 1,26 | 1/0,7 | S=1,8 |
= 2 см
кН/м,2, где
= 0,15 кН/м2
)
; 0,016 . 5 Рабочий слой
; 0,019 . 5 . 0,7