| Наименование нагрузки | Нормативная нагрузка, кН/м | Коэффициент надежности по нагрузке | Расчетная нагрузка, кН/м |
| Вес верхней обшивки из профилированных листов: 0,111. 1,5 | 0,1665 | 1,05 | 0,1748 |
| Вес продольных и поперечных ребер: (0,04 . 0,196 . 5,98 . 4 + 0,04 . 0,147 . 0,437 . 15) 500/(100 . 6) | 0,19 | 1,1 | 0,21 |
| Вес утеплителя: 0,08 . 0,437 . 3. 0,75 | 0,08 | 1,2 | 0,10 |
| Вес пароизоляции | 0,02 | 1,3 | 0,03 |
| Вес фанерной обшивки: 0,01 . 700/100 . 1,5 | 0,105 | 1,1 | 0,1155 |
| Постоянная g | 0,5615 | 0,6303 | |
| Временная снеговая S0. bпл =1,2. 1,5= =1,8КН/м | 1,26 | 1/0,7 | 1,80 |
| Полная | 1,8215 | 2,4303 |
Расчетный пролет плиты с учетом длины опорного участка не менее 5,5 см (п. 6.7 [1]) составит l = 5,98 – 0,06 = 5,92 м. 52
Максимальный изгибающий момент:
.
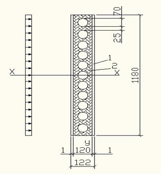
Геометрические характеристики поперечного сечения.
Расстояние между продольными ребрами по осям - а = 47,7 см.
Расчетная ширина фанерной обшивки, согласно п.4.25 [1]: bрасч = 0,9b = 0,9
149 = 134,1 см.
Геометрические характеристики плиты приводим к древесине ребер, учитывая отношение Еф/Е = 9000/10000 = 0,9.
Приведенная площадь поперечного сечения 
Приведенный статический момент сечения относительно верхней грани продольных ребер
|
|
|

Расстояние от верхней грани продольных ребер до центра тяжести сечения
уо = Sпр / Апр = 5499 / 434 = 12,66 см.
Расстояние от центра тяжести плиты до наружной грани фанерной обшивки
h – уо = 20,6 – 12,66 = 7,94 см.
Расстояние от центра тяжести плиты до центра тяжести продольных ребер
ур = уо – hр/2 = 12,66 – 19,6/2 = 2,86 см.
Момент инерции фанерной обшивки относительно центра тяжести плиты (без учета момента фанерной обшивки относительно собственной оси)

Момент инерции ребер относительно нейтральной оси плиты

Момент инерции поперечного сечения плиты, приведенный к древесине,

Момент инерции поперечного сечения плиты, приведенный к фанере: 
Проверка плиты на прочность.
Проверка нижней фанерной обшивки на прочность при растяжении:

Напряжение в сжатых волокнах продольных ребер, работающих на изгиб,
Проверку на скалывание фанерной обшивки в месте приклеивания ее к продольным ребрам каркаса производят по формуле:

где приведенный статический момент фанерной обшивки (нижней) относительно центра тяжести (центральной оси) сечения равен:


Проверка плиты на прогиб.
Относительный прогиб плиты при qн = 1,82 кН/м = 0,0182кН/см и Ед = 10000МПа = 1000 кН/см2

где 1/250 – предельный прогиб в плитах покрытия, согласно табл. 16 [1]. Условие по прогибам выполняется.
6.6. Пример расчёта трёхслойной стеновой навесной панели.
Задача. Рассчитать 3-хслойную стеновую навесную панель с обшивкой из алюминия и средним слоем из пенопласта (
кН/м3) с пустотами (рис.12). Обрамление отсутствует; боковые кромки пенопласта покрыты защитной мастикой. Собственный вес панели равен 0,20 кН/м2, скоростной напор ветра 0,6 кПа (V ветровой район), аэродинамический коэффициент 0,8.
|
|
|
Рис. 12. Трёхслойная навесная панель без обрамления: 1- алюминиевая обшивка; 2- пенопласт.
где 1,2м – номинальная ширина стеновой панели.
Расчет на прочность. При расчете горизонтально расположенных навесных стеновых панелей следует иметь в виду,
что нагрузки от собственного веса и ветрового давления изгибают панель в разных плоскостях. Поэтому наибольшее нормативное напряжение в обшивке в этом случае надо определять с учетом косого изгиба, суммируя напряжения, полученные для каждой плоскости в отдельности.
Максимальный изгибающий момент от собственного веса панели:
;
Момент сопротивления сечения относительно оси Х:
;
Нормативное напряжение в листах обшивки от собственного веса панели:

Нормальные напряжения в обшивке от ветровой нагрузки:

;
Суммарное нормальное напряжение в обшивке:

Сдвигающее напряжение в пенопласте по нейтральной оси: 
= 
где вск = 118 - 11
7 = 41 см=0,41м – общая ширина площади сдвига за вычетом отверстий.
Расчет по деформациям ведем по формуле: 
Относительный прогиб: 
6.7. Проверка несущей способности 3-слойной плиты покрытия с обшивками из алюминиевого сплава.
Задача: Проверить несущую способность 3-слойной плиты покрытия с обшивками толщиной 1 и 1,5 мм из Аl сплава марки АМг2М, с жестким несущим обрамлением и средним слоем из укрупненного блока, склеенного из двух плит пенопласта марки ФРП-1 толщиной 50 мм объемным весом 0,60 кН/м3 с воздушным зазором между ними (рис.15). Собственный вес плиты 0,25 кг/м2, вес снегового покрова S0=1,20 кН/м2 (расчётная для II района).
| Подсчет нагрузок. Нагрузка от собственного веса на 1 пог.м. плиты (при b=1,5м): | |
| Нормативная: | |
| Расчетная: | |
| Временная нагрузка на 1 пог.м. плиты (при b=1,5м): | |
| Нормативная: | |
| Расчетная: | |
| Полная погонная нагрузка: | |
| Нормативная: | |
| Расчетная: | |
Определение приведенной ширины:
Отношение пролета к ширине плиты
,
По графику (рис. 13) для алюминия (кривая 1) находим 
Приведенная ширина плиты:
.
Расчет на прочность: максимальный изгибающий момент от полной расчетной нагрузки:

Приведенный момент инерции сечения:

Здесь Jобш, Jуг, Jст – соответственно момент инерции обшивки, уголков и стенки обрамления. Последний взят без учета древесноволокнистой плиты:
Приведенный момент сопротивления сечения:

Нормальное напряжение в обшивке:

Расчет на сдвиг.
Поперечная сила на опоре:

приведенный статический момент:

Обшивка с уголками соединяются клеем ЭПЦ.
Напряжение сдвига в клеевом шве:

=
,
где Rср - расчётное сопротивление срезу (сдвигу) пенопласта марки ФРП-1, принимаемое по Приложениям 8 [7], I.9 [3]; вск = 2 . 3 = 6 см – общая ширина полок двух уголков.
Статический момент уголков обрамления:

Напряжение сдвига в вертикальном клеевом шве в месте соединения древесно- волокнистой плиты с уголком, МПа:
где вск = 2 . 2,85 = 5,7 см – общая высота двух вертикальных швов.
Статический момент алюминиевой стенки обрамления:
.
Полный приведенный статический момент половины сечения:

Напряжение сдвига в стенке обрамления по нейтральной оси (без учета работы древесно-волокнистой плиты), МПа:
где Rs=80 МПа – расчётное сопротивление алюминиевого листа обрамления согласно СНиП 2.03.06-85 «Алюминиевые конструкции»;
b ск = 2 . 1,15 = 0,3 см – общая толщина стенок обрамления.
Расчет по деформациям: Относительный прогиб:

Расчет на местный изгиб.
Изгибющий момент от местной нагрузки:

1,2 – коэффициент надёжности по нагрузке,
а = 0,38 +0,07 = 0,45м – расстояние между осями брусков пенопласта.
Напряжение сжатия в алюминиевой обшивке:
.
R=140 МПа - расчётное сопротивление сжатию алюминиевого листа обшивки;
d=5 см – толщина пенопласта в подкрепляющем слое;
δ=0,15 см – толщина алюминиевой обшивки.
Напряжение растяжения в подкрепляющем слое (пенопласте):
|
|
|

Вывод: Несущая способность 3-хслойной плиты покрытия не обеспечена. Разрушение происходит от местной потери устойчивости в зоне действия максимального изгибающего момента. Обшивка отрывается от пенопластового среднего слоя, который разрывается, образует складку, и плита в целом теряет несущую способность.

Рис.13. График для определения коэффициента К. 1- алюминий и асбестоцемент; 2- стеклопластик; 3- фанера.

Рис.14. Беспрогонное решение покрытия стандартными щитами обрешётки. а)- щит настила; б)- деталь крепления щита к верхнему поясу фермы; 1-ось фермы; 2- верхний пояс фермы; 3- прибоина; 4- обрешётины сечением 50х100 мм; 5- поперечины 50х50 мм; 6- раскосы 50х50 мм.

Рис. 15. Устаревшая трёхслойная плита покрытия.
1- Выпуск; 2- алюминиевый уголок; 3- алюминиевый лист; 4-бакелизированная фанера; 5- ДВП; 6- заклёпки.

Рис. 16. Виды настилов под кровлю:
1- Рулонная кровля;
2- Защитный косой слой настила;
3- Рабочий разреженный слой настила;
4- Стропильная нога;
5- Плоские плитки (черепица или др.);
6- Однослойный настил;
7- Волнистые стеклопластиковые или асбестоцементные листы;
8- Обрешётка.
ПРИЛОЖЕНИЯ
Приложение 1