Истинным (или географическим) азимутом называют угол (от 0 до 360 градусов) между направлением географического меридиана и направлением на объект.
Дирекционный угол измеряют по часовой стрелке между направлением на объект и вертикальной линией сетки. Дирекционный угол отличается от истинного азимута лишь на величину сближения меридианов, f. Эта величина равна нулю на осевом меридиане зоны и, увеличиваясь от экватора и от среднего меридиана зоны, максимально может достигать 3 градусов.
Вопрос 45
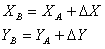
Для определения координат точки в прямой геодезической задаче обычно применяют формулы:
1) нахождения приращений:

2) нахождения координат:







