Каждый качественный показатель связан с тем или иным объемным показателем, в расчете на единицу измерения которого он исчисляется (или к единице измерения которого относится). Так, цена единицы товара связана с его количеством (Q); с объемом произведенной продукции связаны такие качественные показатели, как цена (р), себестоимость (z) и трудоемкость (t = T / Q) единицы продукции, а также удельный расход сырья, материалов (m = M / Q).
Сводные индексы качественных показателей должны характеризовать не их изменение вообще применительно к какому-либо произвольному набору товаров или продукции, а изменение цен, себестоимости, трудоемкости или удельных расходов вполне определенного количества произведенной продукции или проданных товаров. Это и достигается путем взвешивания – умножения уровней индексируемого качественного показателя на значения связанного с ним объемного показателя (веса) – и фиксирования весов в числителе и знаменателе индекса на одном и том же уровне. Сопоставление сумм таких произведений дает агрегатный индекс. Аналогично могут быть построены агрегатные индексы динамики себестоимости и трудоемкости единицы продукции, а также индекс удельного расхода сырья или материала.
Основной проблемой при построении этих сводных индексов является экономически обоснованный выбор уровня, на котором нужно зафиксировать веса индекса, т.е. в данном случае объем продукции (или товаров) – Q.
Обычно перед сводным индексом динамики качественного показателя ставится задача измерить не только относительное изменение уровня, но и абсолютную величину того экономического эффекта, который получен в текущем периоде в результате этого изменения: сумму экономии покупателей за счет снижения цен (или сумму их дополнительных расходов, если цены повысились), сумму экономии (или дополнительных затрат) за счет изменения себестоимости и т.п.
Такая постановка задачи приводит к индексам динамики качественных показателей с весами текущего периода:
• во-первых, исследователя интересует изменение себестоимости или трудоемкости той продукции, которая выпущена в настоящее время, а не в прошлом;
• во-вторых, экономический эффект должен быть увязан с фактическими результатами текущего, отчетного, а не предыдущего (базисного) периода.
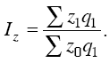
В качестве примера приведем агрегатный индекс себестоимости:

Таким образом, в этом индексе числитель представляет собой сумму фактических затрат на продукцию в отчетном периоде, а знаменатель – условную величину, которая показывает, сколько средств было бы затрачено на продукцию отчетного периода, если бы себестоимость единицы каждого вида продукции сохранялась на базисном уровне.
Реальный экономический эффект, полученный за счет изменения себестоимости единицы продукции, выражается абсолютной величиной, которая вычисляется как разность между суммами в числителе и знаменателе индекса.
Следовательно, взвешивание по весам отчетного (текущего) периода увязывает индекс качественного показателя с показателем экономического эффекта, который получен за счет изменения индексируемого показателя. Поэтому агрегатные индексы! динамики качественный показателей строятся и вычисляются обычно с весами отчетного периода:

Формула (7.2) представляет собой сводный индекс цен, а формула (7.3) – расчет сводного индекса расхода материалов. В этих индексах разность между числителем и знаменателем характеризует в первом случае уменьшение либо увеличение затрат на приобретение одного и того же набора товаров в зависимости от знака разности; во втором случае – увеличение или уменьшение расхода материалов на производство одного и того же объема продукции.






