Основная тенденция развития в рядах динамики со стабильными абсолютными приростами отображается уравнением прямолинейной функции:

где
– средний уровень ряда;
,
– параметры уравнения;
– обозначение времени.
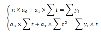
Для определения параметров уравнения
и
необходимо решить систему уравнений:

Для выявления параметров тренда используется способ отсчета времени от условного начала, который основан на обозначении времени таким способом, чтобы
. В данном примере четное число уровней, следовательно, используем следующую таблицу:
Таблица 5 – Расчетные данные для условного обозначения времени
| Время, период | ||||||||||||
| Условное обозначение времени | -6 | -5 | -4 | -3 | -2 | -1 |
Таблица 6 – Аналитическое выравнивание ряда по прямолинейной функции
| Месяц | Товарооборот фирмы, тыс. руб. ( )
|
|
|
|
|
|
|
| Январь | -6 | -498 | 66,9 | -16,1 | 257,9 | ||
| Февраль | -5 | -330 | 67,0 | 1,0 | 1,0 | ||
| Март | -4 | -168 | 67,1 | 25,1 | 628,0 | ||
| Апрель | -3 | -243 | 67,1 | -13,9 | 192,7 | ||
| Май | -2 | -92 | 67,2 | 21,2 | 448,6 | ||
| Июнь | -1 | -77 | 67,2 | -9,8 | 95,3 | ||
| Июль | 67,4 | 9,4 | 87,6 | ||||
| Август | 67,4 | -19,6 | 383,4 | ||||
| Сентябрь | 67,5 | 14,5 | 209,7 | ||||
| Октябрь | 67,5 | -24,5 | 598,3 | ||||
| Ноябрь | 67,6 | -10,4 | 108,2 | ||||
| Декабрь | 67,7 | 22,7 | 513,5 | ||||
| Итого | 807,6 |
| 3524,0 |
Параметры уравнения:


Значения параметров
и
подставим в исходное уравнение:

Подставив значение t в уравнение определим теоретический (расчетный) уровень, например, за январь:

Определим стандартизированную ошибку аппроксимации:

Отобразим графически полученные данные.

Рисунок 5 – Аналитическое выравнивание ряда с помощью прямолинейной функции
)






