| D |
| m |
|
|
| R |
| C | Кг |
|
|
|
| |
| 0,137 | 1,7254 | 0.0265 | 0,3203 | 0,0006 | 0,0067 | 0,11 |


- Изучение зависимости момента инерции от расстояния масс от оси вращения.

| r, (м) | 0,03 | 0,05 | 0,07 | 0,09 | 0,11 |
| 0,0009 | 0,0025 | 0,0049 | 0,0081 | 0,0121 |
| T, (с) | 1,606 | 2,939 | 1,357 | 1,818 | 4,239 |
| 0.0001 | 0,0004 | 0,0003 | 0,0005 | 0,0008 |

, где Jст- момент инерции стержня, m –масса одного груза.
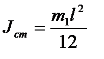
, где m1 –масса стержня, l – длина стержня.


Из графика видно, что
приблизительно равно
.
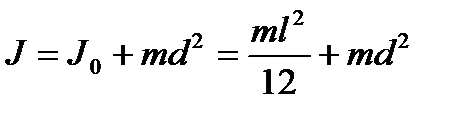
Проверка теоремы Штейнера.
| № | T, с | d, м | M, кг | l, м |
|
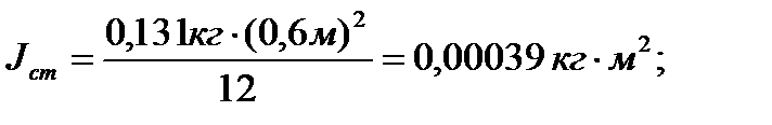
| 2,787 | 0,131 | 0,6 | 0,525 | ||
| 2,825 | 0,04 | 0,131 | 0,6 | 0,537 |
;

Получилось, что
. Это вызвано экспериментальной погрешностью измерений.
Результаты:
· Модуль кручения пружины D= 0.137;
- Моменты инерций шара:
· Моменты инерций сплошного цилиндра:

· Моменты инерций полого цилиндра: 

- Моменты инерций диска:

Вывод:
После проведения опытов и произведения расчётов над полученными результатами. Проверил теорему Штейнера. Получилось, что экспериментальное и теоретическое значение момента инерции различаются. Это вызвано погрешностью, сделанных мной измерений. Доказал, что момент инерции зависит от размеров формы тела и от распределения массы тела относительно оси вращения.
|
|
|
Министерство образования и науки Российской Федерации
Национальный минерально-сырьевой университет «Горный»
Кафедра общей и технической физики.
ЛАБОРАТОРНАЯ РАБОТА № 2






