Момент инерции материальной точки массой m, находящейся на расстоянии R от оси вращени:
, где m- масса материальной точки, [кг]; R- расстояние от оси вращения, [м];
Момент инерции однородного диска и для момента инерции сплошного цилиндра относительно оси, перпендикулярной к плоскости диска и проходящей через его центр:
, где R- радиус,[м]; m- масса, [кг];
Момент инерции полого цилиндра с внутренним радиусом R1 и внешним радиусом R2 относительно оси, совпадающей с осью цилиндра.
, где
- внутренний радиус;
- внешний радиус; [
]=
;
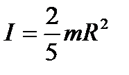
Момент инерции шара радиуса R относительно оси проходящей через его центр
, где R- радиус; m- масса; [I]=
;
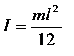
Момент инерции тонкого стержня относительно оси перпендикулярной к стержню и проходящей через его середину. Длина стержня l,
, где
- длина стержня, [м];
- Крутящий момент
, где
- модуль кручения пружины;
- угол, на который закрутили пружину;
Наименьший промежуток времени T, удовлетворяющий этому условию, называется периодом колибаний:
, где J- момент инерции; [
]= 
|
|
|
- Момент силы
, где
- плечо силы, (Н*м)
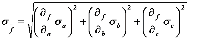
Формулы погрешностей косвенных измерений:







