-

+

-

-

На сколько областей делится турбулентный режим движения при определении коэффициента гидравлического трения?
-
на две;
+
на три;
-
на четыре;
-
на пять.
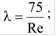
От чего зависит коэффициент гидравлического трения в первой области турбулентного режима?
+
только от числа Re;
-
от числа Re и шероховатости стенок трубопровода;
-
только от шероховатости стенок трубопровода;
-
от числа Re, от длины и шероховатости стенок трубопровода.
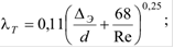
От чего зависит коэффициент гидравлического трения во второй области турбулентного режима?
-
только от числа Re;
+
от числа Re и шероховатости стенок трубопровода;
-
только от шероховатости стенок трубопровода;
-
от числа Re, от длины и шероховатости стенок трубопровода.






