-

-

-

+

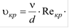
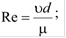
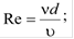
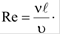
Число Рейнольдса определяется по формуле
-

+

-

-

От каких параметров зависит значение числа Рейнольдса?
+
от диаметра трубопровода, кинематической вязкости жидкости и скорости движения жидкости;
-
от расхода жидкости, от температуры жидкости, от длины трубопровода;
-
от динамической вязкости, от плотности и от скорости движения жидкости;
-
от скорости движения жидкости, от шероховатости стенок трубопровода, от вязкости жидкости.






