-
трубопровод, расходящийся в разные стороны;
-
совокупность нескольких простых трубопроводов, имеющих несколько общих сечений – мест разветвлений;
+
совокупность нескольких простых трубопроводов, имеющих одно общее сечение – место разветвления;
-
совокупность параллельных трубопроводов, имеющих одно общее начало и конец.
При подаче жидкости по разветвленным трубопроводам 1, 2, и 3 расход жидкости
-

-

-

+

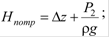
Потребный напор определяется по формуле
-

-

-

+

Если статический напор Hст < 0, значит жидкость
+
движется в полость с пониженным давлением;
-
движется в полость с повышенным давлением;
-
движется самотеком;
-
двигаться не будет.