При подборе автомашин сначала решается задача качественная: выбирается тип автомобиля в зависимости от вида груза (бортовые, с прицепом или без него, тягачи-контейнеровозы, самосвалы и т. д.), и состояния дорог (автомобили обычные или повышенной проходимости). Затем решается задача количественная: сколько автомобилей выбранного типа необходимо для перевозки требуемого количества груза на заданное расстояние в заданное время.
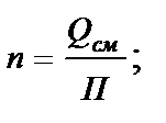
Количество машин (n) определяется следующим образом:
(2.1)
где Q см – количество груза, которое необходимо перевезти в смену;
П – производительность автомобиля в смену.
П = Q N Кг, (2.2)
где Q – грузоподъемность автомобиля или автопоезда, т;
N – количество рейсов в смену;
Кг – коэффициент грузоемкости.
; (2.3)
где Т – продолжительность смены, мин;
Кв . – коэффициент использования автомобиля во времени, учитывающий время проезда от гаража до места работы и обратно. Кв. приблизительно равен 0,8-0,9;
t – продолжительность одного рейса:
t = tпогр. + tпр. + tразгр. + tман ., (2.4)
где t погр. – время, затрачиваемое на погрузку, мин.:
; (2.5)
где Q – грузоподъемность автомобиля или автопоезда, т;
H – норма времени, ч., принимаемая по нормативным документам в зависимости от способа погрузки и вида материалов;
И – количество измерителей, на которое дана норма времени.
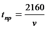
; (2.5)
где 2l – расстояние пробега в оба конца, км;
v – расчетная скорость движения автомобиля, км/ч, принимаемая по справочникам в зависимости от типа дороги и грузоподъемности автомобиля.
tразгр . – время, затрачиваемое на разгрузку, определяемое так же, как и tпогр.
Время разгрузки самосвала при перевозке грунта, бетона и раствора – 3 мин;
t ман., – время на маневры при заезде под погрузку и разгрузку, принимают для автомобилей 2-4 мин, автопоезда – 4-6 мин;
Кг – коэффициент грузоемкости, принимаемый в зависимости от вида груза.
Таким же образом, сопоставляя количество груза, которое необходимо погрузить (разгрузить) с производительностью погрузочного (разгрузочного) механизма, определяют и количество механизмов для погрузки и разгрузки, только производительность грузоподъемных механизмов находится по нормативу в зависимости от вида механизма и вида груза.






