Лабораторная работа №13
Цель работы: Изучение возможностей пакета Ms Excel при решении задач линейного программирования. Приобретение навыков решения задач линейного программирования.
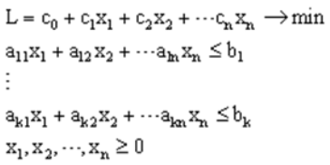
В задачах линейного программирования всегда необходимо найти минимум (или максимум) линейной функции многих переменных при линейных ограничениях в виде равенств или неравенств.
|
В задачи целочисленного программирования добавляется ограничение, что все xi должны быть целыми.
1. Проверьте, если у вас установлена надстройка «Поиск решения» (рис. 2), пропустите этот пункт.

Рис. 2. Надстройка Поиск решения установлена; вкладка «Данные», группа «Анализ»
Если надстройки «Поиск решения» вы на ленте Excel не обнаружили, щелкните на кнопку Microsoft Office, а затем Параметры Excel (рис. 3).

Рис. 3. Параметры Excel
Выберите строку Надстройки, а затем в самом низу окна «Управление надстройками Microsoft Excel» выберите «Перейти» (рис. 4).

Рис. 4. Надстройки Excel
В окне «Надстройки» установите флажок «Поиск решения» и нажмите Ok (рис. 5). (Если «Поиск решения» отсутствует в списке поля «Надстройки», чтобы найти надстройку, нажмите кнопку Обзор. В случае появления сообщения о том, что надстройка для поиска решения не установлена на компьютере, нажмите кнопку Да, чтобы установить ее.)
|
|
|

Рис. 5. Активация надстройки «Поиск решения»
После загрузки надстройки для поиска решения в группе Анализ на вкладке Данные становится доступна команда Поиск решения (рис. 2).
2. Пример. Решить задачу линейного программирования:
L = 5x1 - 2x3
min
- 5x1 - x2 + 2x3 ≤ 2
- x 1+x3 + x4 ≤ 5
- 3x1 + 5x4 ≤ 7
Пусть значения x1, x2, x3, x4 хранятся в ячейках A1:A4, a значение функции L - в ячейке С1 = =5*A1-2*A3.
Введем ограничения:
С2 = -5*A1 - A2 + 2*A3
С3 = -А1 +А3 + А4
С4 = -3*А1 + 5*А4.

Таким образом, было задано условие исходной задачи линейного программирования.
Выполним команду из главного вкладка «Данные»
Поиск решения (рис. 6.1).