Программно-целевой подход основывается на четком определении целей организации и разработке программ по оптимальному достижению этих целей с учетом ресурсов, необходимых для реализации программ.
Еще на стадии формулирования желаемых целей возникает обобщенная модель организации. Затем рассматриваются альтернативные варианты управленческих решений, выбирается одно из них, и начинается разработка программ. На каждом этапе программы стратегическая цель организации подразделяется на подцели, выделяются основные задачи и приоритеты их решения, которые увязываются с материальными, трудовыми и финансовыми ресурсами. Оценка итогов реализации этапа проводится по следующим показателям: основной результат, объем и срок.
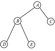
Для удобства увязки всех этапов реализации программы целесообразно составить дерево целей, где корень дерева — главная цель программы (А), первый уровень вершин — подцели первого уровня (В и С), затем идут вершины второго уровня (D и Е) и т.д.; нижние уровни дерева целей — средства и способы достижения целей более высокого уровня (рис. 2). После построения дерева целей программу оформляют в виде директивы — документа руководителя, обязательно для всех исполнителей.
|
|
|

Рис. 2. Дерево целей
Ход реализации принятой к исполнению программы постоянно контролируется, так как на каждом этапе могут возникать новые, прежде не учтенные факторы.
В России накоплен значительный опыт программно-целевого управления, но далеко не все программы осуществились в полном объеме и в заданные сроки вследствие недостаточного контроля, низкого уровня ответственности, отсутствия должной мотивации участников реализации этих программ.






