Лабораторная работа № 2
Тема занятия: Текстовый процессор Word
Цели занятия:
1. Познакомиться с интерфейсом текстового процессора Word.
2. Освоить и закрепить навыки создания, редактирования, форматирования текстового документа в текстовом процессоре.
3. Освоить и закрепить навыки вставки и обработки изображений и формул в текстовый документ.
4. Закрепить навыки сохранения текстового документа.
5. Научиться самостоятельно изучать материал при подготовке к лабораторной работе.
6. Развивать техническое мышление.
Время: 180 мин. Место: компьютерный класс
Оборудование:
1. Персональные компьютеры
2. Задание к лабораторной работе (раздаточный материал)
Рекомендуемая литература:
1. Информатика. Базовый курс. Учебник для вузов. Под ред. С.В. Симоновича. 2 изд. – СПб.: Питер, 2009.
2. Лабораторный практикум по информатике. Учебное пособие для вузов. 2 изд. Под ред. В.А. Острейковского. М: Высшая школа, 2008.
Задание на лабораторную работу
1. Набор, редактирование и форматирование текста
|
|
|
- запустить текстовый процессор WORD;
- ввести с клавиатуры следующий текст:

- произвести редактирование набранного текста (исправить ошибки);
- произвести форматирование набранного текста:
§ шрифт основного текста – Bookman Old Style,обращения к поступающему – Arial Black,
§ начертание шрифта - курсив, название университета – полужирный курсив,
§ размер шрифта – 14 пт,
§ цвет обращения – красный, основного текста – темно-синий, сокращенного названия вуза - зеленый,
§ границы абзацев – 1 см (левая) и 2,5 см (красная строка),
§ выравнивание текста - по обеим границам, обращения– по центру,
§ межстрочный интервал - полуторный;
- выделить произвольный фрагмент текста и скопировать его в другое место этого же документа;
- сохранить набранный рабочий документ в виде файла под именем Задание 2-1 и поместить его в свою индивидуальную папку.
2. Формирование и редактирование таблицы с заданным количеством строк и столбцов
- сформировать в рабочем окне текстового процессора WORD прямоугольную таблицу по следующему образцу и заполнить ее данными:
- 
- установить необходимую ширину столбцов и высоту строк;
- выровнять данные в первом, третьем, четвертом и шестом столбцах по центру, строку заголовков колонок (первую строку) выровнять по центру и задать полужирное начертание символов в этой строке;
- сохранить созданный рабочий документ в виде файла под именем Задание 2-2 и поместить его в свою индивидуальную папку.
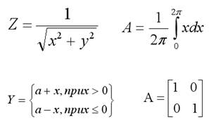
3. Формирование и редактирование математических выражений
- используя редактор формулMicrosoft Equation 3.0 набрать следующие математические выражения:
|
|
|

- отредактировать набранные математические выражения (исправление неправильно набранных символов, замена символов и т.д.);
- отформатировать набранные математические выражения по высоте и ширине и разместить симметрично на площади рабочего листа;
- сохранить набранный рабочий документ в виде файла, под именем Задание 2-3 и поместить его в свою индивидуальную папку.
4. Формирование и редактирования простейших геометрических фигур
- вызвать панель инструментов Рисование;
- сформировать на рабочем листе Прямоугольник, Овал и 8-конечную звезду;
- изменить размеры и расположить их, как показано на рисунке;

- задать параметры фигур:
| Фигура | Тип линий | Толщина линий | Цвет линий | Цвет заливки |
| звезда | - | - | - | белый |
| овал | круглые точки | 3 пт | золотистый | темно-синий |
| прямоугольник | сплошная линия | 4,5 пт | изумрудный | красный |
- нарисовать и отформатировать фигуры:
| Фигура | Название фигуры | Тип линии | Особенности линии | Тип заливки |
| полилиния | длинный штрих-пунктир | стрелка любого типа | текстурная |
| кривая | сплошная | толщина 4,5 пт | рисунок (любой графический файл) |
| рисованная кривая | сплошная | - | узорчатая |
- сделать соответствующие надписи при помощи инструмента Надпись панели инструментов Рисование на построенных геометрических фигурах или под ними;
- сохранить набранный документ в виде файла, под именем Задание 2-4 и поместить его в свою индивидуальную папку.
5. Формирование цветных графических изображений
- войти в библиотеку ClipArt, используя левую кнопку мышии кнопки графического интерфейса Вставка/Рисунок/Картинки;
- выделить и поместить на рабочем столе 2-3 рисунка из библиотеки ClipArt, при необходимости изменить размеры;
- вызвать фигурный текст WordArt, используя левую кнопку мышии кнопку Объект WordArt на панели инструментов Рисование и сформировать объемные цветные подписи к вставленным изображениям;
- выделить надписи и изображения и скопировать их в другое место рабочего документа;
- сохранить набранный документ в виде файла под именем Задание 2-5 и поместить его в свою индивидуальную папку.






