ЛАБОРАТОРНАЯ РАБОТА №4 «Знакомство с Mathcad»
Вариант № 9
1.Простейшие вычисления.
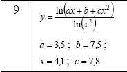
а) Исходные данные:

б)Решение:
|
|
|
|
|
|
2.Определение и вычисление значений функции в точке. Построение таблицы значений функции.
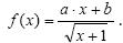
а)Исходные данные:



б)Решение:
|
|
|
|
|
|
|
|
3.Решение систем линейных уравнений
а)Исходные данные:

б)Решение систем линейных уравнений методом Крамера:

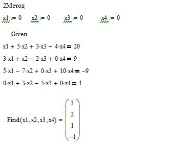
в)Решение систем линейных уравнений методом Given…Find

г)Решение систем линейных уравнений. Функция lsolve.

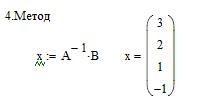
д)Решение систем линейных уравнений методом обратной матрицы.

Графические возможности
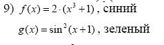
Вариант№ 9
1. Построить графики заданных функций в декартовой системе координат заданным цветом с пересекающимися в начале координат осями и названием, не отображая выражения, задающие функции. оба графика должны быть изображены сплошной линией, но разной толщины.
а)Исходные данные:

б)Решение:
|
|
|
|
|
|
|
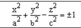
2.Построить с помощью редактора MathCAD график функции Z=f(x,y), согласно своему варианту.
а) Исходные данные:



б)Решение:
Решение:
|
|
|
|
|
3.Найти двумя способами все корни уравнения, применив функции root и polyroots.
а)Решение:
|
|
|
|
|
|
|
|
|
4.Вычислить значение функции и построить график
Решение:
|
|
|
|
Вычислить выражение
Решение:







