Пассивный двухполюсник с входным сопротивлением
подключен к активному двухполюснику с параметрами
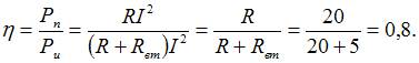
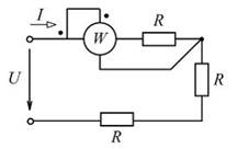
(см. рис.). При этом КПД источника энергии равен …
Решение:
Для схемы, изображенной на рисунке, КПД определяется отношением мощностей приемника и источника ЭДС: 
| активный приемник |
| пассивный приемник |
| идеальный источник ЭДС в режиме холостого хода |
| идеальный источник тока в режиме короткого замыкания |
Тема: Основные определения и топологические параметры электрических цепей
Если напряжение на выводах элемента при отсутствии тока равно нулю, то это – …
Решение:
Пассивным элементом называют приемники, в которых не возникает ЭДС. Их вольт-амперные характеристики проходят через начало координат – при отсутствии тока напряжение на выводах этих элементов равно нулю.
| 11,1 |
| 6,2 |
Тема: Расчет нелинейных цепей постоянного тока
Вольт-амперная характеристика нелинейного элемента выражается уравнением
При напряжении
статическое сопротивление
нелинейного элемента равно …
Решение:
Статическое сопротивление 
|






