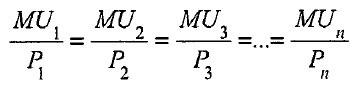
Критерии потребительского выбора – это предельная полезность на одну условную единицу затрат. Максимум полезности потребитель достигает, когда предельная полезность на один рубль, израсходованный на покупку каждого вида товаров одинаковый.
Равновесие потребителя — точка, в которой потребитель максимизирует свою общую полезность или удовлетворение от расходования фиксированного дохода.
Равновесие потребителя может быть выражено следующим образом:

где MU — предельная полезность отдельных товаров;
P — их цена.






