Теоретическая стойкость, совершенно стойкий шифр. Доказательство совершенной стойкости шифра Вернама по конечному модулю

Теоретико-информационный подход к оценке стойкости шифров в 1949 году предложил американский инженер К.Шеннон. На основе вероятностной модели шифра он сформулировал понятие совершенно стойкого шифра и показал, что Вернама на основе случайной равновероятной гаммы удовлетворяет требованию совершенной стойкости.

Хотя конечной целью дешифрования является восстановление открытого текста или ключа шифрования, даже возможность угадывания открытого текста с некоторой вероятностью может быть полезна атакующей стороне. Для коммерческих сделок сумма тендерного предложения, «угаданная» по порядку величины может сыграть решающую роль.

Например, перехватив сообщение {АБВВГ…}, зашифрованное простой заменой, злоумышленник получит информацию о совпадении третьего и четвертого символов в открытом тексте, что делает весьма вероятным предположение об открытом тексте {СУММА…}. После чего он может попытаться отождествить последующий шифрованный текст с тем или иным числовым выражением стоимости сделки.

Сказанное позволяет сделать вывод, что для надежного шифра перехват шифрованного сообщения не должен изменять представления о допустимом содержании открытого текста.

Шифр называется совершенно стойким по Шеннону, если открытый и шифрованный тексты статистически независимы, то есть для " M,C в случае P(C)>0 имеет место равенство условной и безусловной вероятности:

   

Иначе говоря, перехват шифрованного сообщения (криптограммы) не увеличивает объема информации об открытом тексте, если ключ шифрования неизвестен. При этом распределения вероятностей на множестве открытых текстов до и после перехвата шифрованного сообщения (апостериорное и априорное распределение) совпадают.

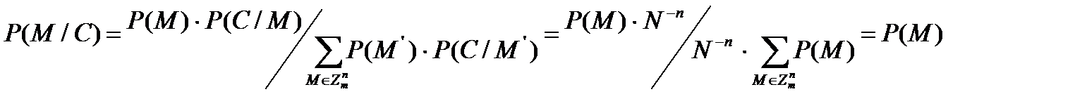
Теорема. Шифр Вернама по модулю N:

  ci=(mi + γi) mod N, i=1,2,…,n (1)

является совершенно стойким шифром, если ключ шифрования Г ={g1 …gn } является результатом случайного равновероятного выбора из множества всех возможных n- грамм в алфавите ZN.

Доказательство: Пусть имеем открытый и шифрованный тексты M,C Î , причем вероятность P(M)>0. Так как ключ Г выбирается случайно и равновероятно, то P(Г)=N-n.

Для заданных текстов M и C ключ Г из уравнения (1) определяется однозначно, поэтому:

   

где C Å M означает поразрядное сложение по mod N двух n- мерных векторов.

Откуда, используя определение условной вероятности, получим:

   

По формуле Байеса для P(C)>0 из последнего равенства следует:

Что и требовалось доказать.





Подборка статей по вашей теме: