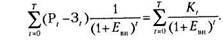
Чистый дисконтированный доход (ЧДД), т.е. Эинт, определяется как сумма текущих эффектов за весь расчетный период, приведенная к начальному шагу, или как превышение интегральных результатов над интегральными затратами и рассчитывается по формуле:

где Рt,- результаты (выручка от реализации), достигаемые на t-м шаге расчета; 3t, — затраты, осуществляемые на t-м шаге; Т — временной период расчета; Е — норма дисконта.
Временной период расчета принимается исходя из сроков реализации проекта, включая время создания предприятия (производства), его эксплуатации и ликвидации.
Если величина ЧДД инвестиционного проекта положительна (т.е. ЧДД > 0), то он признается эффективным, т.е. обеспечивающим уровень инвестиционных вложений не меньший, чем принятая норма дисконта.
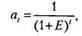
Приведение величин затрат и их результатов осуществляется путем умножения их на коэффициент дисконтирования (аt), определяемый для постоянной нормы дисконта Епо формуле:

где t — время от момента получения результата (произведения затрат) до момента сравнения, измеряемое в годах.
Норма дисконта (Е) — это коэффициент доходности капитала (отношение величины дохода к капитальным вложениям), при которой другие инвесторы согласны вложить свои средства в создание проектов аналогичного профиля.
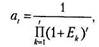
Если норма дисконта меняется во времени, то предыдущая формула выглядит следующим образом:

где Еk— норма дисконта в k-u году;
t — учитываемый временной период, год; П — поток платежей.
При определении показателей экономической эффективности инвестиционных проектов могут использоваться базисные, мировые, прогнозные расчетные цены на продукцию и потребляемые ресурсы.
Базисные цены — это цены, сложившиеся на определенный момент времени. Они используются, как правило, на стадии технико-экономических исследований инвестиционных возможностей.
Прогнозные цены — это цены на конец t-гогода реализации инвестиционного проекта в соответствии с прогнозируемым индексом изменения цен на продукцию, ресурсы, услуги. Они определяются по формуле:

где Цt — прогнозируемая пена на конец t-го года реализации инвестиционного проекта;
Цб — базисная цена продукции или ресурса;
Jt — прогнозный коэффициент (индекс) изменения цен соответствующей продукции или соответствующих ресурсов на конец t-го года реализации инвестиционного проекта по отношению к моменту принятия базисной цены.
Индекс доходности (ИД) инвестиций представляет собой отношение сумм приведенного эффекта к величине инвестиций (К):

Если индекс доходности равен или больше единицы (ИД ≥ 1), то инвестиционный проект эффективен, а если меньше единицы (ИД < 1) — то неэффективен.
Внутренняя норма доходности (ВНД) инвестиций представляет собой ту норму дисконта (Евн), при которой величина приведенного эффекта равна приведенным инвестиционным вложениям, т.е. Евн(ВНД) определяется из равенства:

Величина нормы доходности, рассчитанная по этой формуле, сравнивается с требуемой инвестором величиной дохода на капитал. Если ВНД равна или больше требуемой нормы доходности, то проект считается эффективным.
Окупаемость. Этот показатель важен для выявления времени возврата первоначальных вложений и определения, окупятся ли инвестиции в течение срока их жизненного цикла.
Окупаемость рассчитывается по следующей формуле:

где Кок — окупаемость, месяцы (годы);
С — чистые инвестиции, руб.; Дср - среднегодовой приток денежных средств от проекта, руб.






