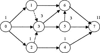
Исходному событию присваивается число 1, которое записывается над кружочком, изображающим исходное событие. Если в следующие события сети входит только одна работа, то над этим событием записывается число, равное сумме чисел, стоящих над начальными событиями входящих работ. Количество путей в сети определяет число, подсчитанное для завершающего события.
1 7

Рисунок 23
В данной сети 11 путей.






