Боковое давление, создаваемое воздухом или жидкостью в рабочей камере,
=
(рис. 1 б, рис. 2) поддерживается постоянным, а вертикальное напряжение
увеличивается ступенями
(рис. 3). При определенной величине разности (девиаторе) напряжений (
) наступает разрушение образца по наклонной плоскости (рис. 4, 5). В отличие от испытаний на прямой срез, где плоскость среза определена конструктивно (горизонтальна) в приборе трехосного сжатия положение плоскости разрушения зависит от условий нагружения.
|
Рис. 3. Предварительное гидростатическое обжатие образца и добавочное
внешней нагрузкой
|
Рис. 4. Наклонная плоскость разрушения/среза
Касательное,
и нормальное напряжение,
на плоскости разрушения может быть найдено, если известно значение угла наклона
данной плоскости в предельном состоянии.
|
Рис. 5. Элемент среды и компоненты напряжений
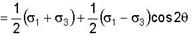
Из условий равновесия на наклонной плоскости находим


Если известно значение
, то могут быть найдены напряжения
и
. В некоторых случаях, из опытов трудно найти угол наклона
плоскости разрушения, так как в образце не образуется видимой плоскости разрушения, образец деформируется виде «бочки» (рис. 6). В этом случае, за разрушающую нагрузку принимается значение, соответствующее 20% вертикальной деформации.
|
|
|
Рис. 6. Разрушение в виде «бочки» |
Если на графике нанести все значения
и
для каждого угла
от 0 до 900, то получим круг радиусом
с центром
и
. Этот круг называется кругом напряжений Мора (рис. 7).
|
Рис. 7. Круг напряжений Мора и предельная прямая Мора-Кулона
Касательная к кругу Мора, построенного с использованием предельного значения напряжения
является предельной прямой. Для случая связных грунтов необходимо построить не менее двух предельных круга Мора (рис. 8), т. е. провести опыты при различных значениях бокового давления
.
|
Рис. 8. Прямая предельного состояния для связного грунта

Рис. 9. Типичное поведение насыщенных грунтов в условиях дренированных трехосных испытаниях: 1 - плотный песок или переуплотненная глина; 2 - рыхлый песок или нормально уплотненная глина.
Рис. 6. Разрушение в виде «бочки»






