+ так ні
57. Безінерційна ланка – це ланка, яка описується рівнянням динаміки типу….


+ 

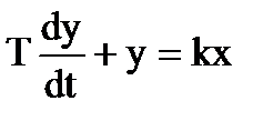
58. Стійка аперіодична ланка 1-го порядку – це ланка, яка описується рівнянням динаміки типу ….
+ 



59. Ланка з затриманням часу – це ланка, яка описується рівнянням динаміки типу ….

+ 


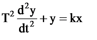
60. Аперіодична ланка 2-го порядку – це ланка, яка описується рівнянням динаміки типу ….
, Т1 < 2Т2;

+
, Т1 ³ 2Т2.

61. Ланка, що коливається, це ланка яка описується рівнянням динаміки типу ….
, Т1 < 2Т2;

, Т1 ³ 2Т2.
+
Т1 ³ 2Т2.
62. Інтегруюча ланка – це ланка, яка описується рівнянням динаміки типу ….



+ 
63. Безінерційна ланка – це ланка, яка описується передатною функцією типу….


+ 

64. Стійка аперіодична ланка 1-го порядку – це ланка, яка описується передатною функцією типу ….
+ 



65. Ланка з затриманням часу – це ланка, яка описується передатною функцією типу ….

+ 


66. Аперіодична ланка 2-го порядку – це ланка, яка описується передатною функцією типу ….
, Т1 < 2Т2;

+
, Т1 ³ 2Т2.







