Як правило, обчислювальний процес передбачає декілька можливих шляхів розв’язання задачі, реалізація яких залежить від виконання визначених умов. Алгоритм, що розгалужується, (або просто розгалуження) застосовується в тих випадках, коли в залежності від умови необхідно виконати одну або іншу групу дій. На рисунку 2 показано блок-схему алгоритму, що розгалужується. Окремий випадок розгалуження – обхід, коли по гілці «ні» ніяких дій виконувати не треба (блок-схема обходу – на рисунку 3).
так умова ні умова ні
дії 1 дії 2 так
дії
Рисунок 2 – Блок-схема Рисунок 3 – Блок-схема
розгалуження обходу
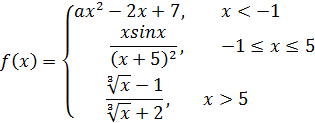
Приклад. Обчислити значення f по одній із трьох формул – у залежності від значення x:

початок
Введення а,х
так х<-1 ні
4
f=ax2-2x+7 так x>5 ні
6 7

Виведення x,f
кінець
Рисунок 4 – Блок-схема розв’язання задачі
Блок-схема алгоритму даної задачі приведена на рисунку 4.
Для обчислення значення f потрібно перевірити два з трьох взаємовиключних умов (для x<-1 і x>5). Після введення вхідних даних (блок 2) перевіряється перша умова x<-1 (блок 3). Якщо вона виконується, то значення f визначається по першій гілці формули (блок 4). У противному випадку перевіряється кожне з умов, що залишилися, (вони взаємовиключні). У даному випадку в блоці 5 перевіряється умова x>5. Якщо вона виконується, то значення f визначається по третій гілці формули (блок 6), у противному випадку - по другій гілці в блоці 7. У блоці 8 здійснюється виведення результату.
|
|
|






