Завдання 1.1. Використовуючи математичну модель, розробити блок-схему алгоритму для обчислювання значень вказаних елементів трикутника, заданого величинами його сторін. Дано сторони трикутника a, b і с.
Введемо позначення та складемо математичні моделі обчислення елементів трикутника:
Висота, проведена до сторони а, 
Висота, проведена до сторони b, 
Висота, проведена до сторони c, 
Бісектриса кута А, 
Бісектриса кута B, 
Бісектриса кута C, 
Медіана, проведена до сторони а 
Медіана, проведена до сторони b 
Медіана, проведена до сторони c 
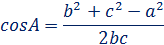
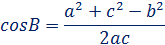
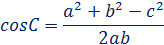
Радіус кола, описаного навколо трикутника, 
Радіус кола, вписаного в трикутник,
, де:
р – півпериметр, 
S – площа трикутника, за формулою Герона 



Таблиця 2 – Таблиця варіантів до створення лінійних алгоритмів
| Номер варіанта | Величина, яку потрібно обчислити | Довжина сторін, см | |||||
| a | b | c | a | b | c | ||
| 1(16) | Висота ha, бісектриса ωβ | 12,3 | 14,5 | 16,7 | 16,3 | 18,9 | 11,4 |
| 2(17) | Медіана ma, радіус описаного кола R | 11,4 | 12,6 | 17,1 | 21,7 | 22,6 | 17,3 |
| 3(18) | Бісектриса ωа, радіус вписаного кола r | 21,8 | 24,9 | 30,6 | 11,8 | 14,9 | 20,6 |
| 4(19) | Радіус описаного кола R, висота hb | 40,6 | 39,5 | 41,8 | 15,6 | 19,5 | 11,8 |
| 5(20) | Радіус вписаного кола r, медіана mb | 17,7 | 15,8 | 12,1 | 22,1 | 32,5 | 36,1 |
| 6(21) | Висота hb, бісектриса ωа | 17,7 | 15,8 | 12,1 | 42,3 | 35,4 | 38,7 |
| 7(22) | Медіана mb, висота hс | 11,3 | 15,9 | 20,7 | 10,6 | 19,8 | 12,9 |
| 8(23) | Бісектриса ωβ, бісектриса ωγ | 15,5 | 18,4 | 19,2 | 24,1 | 23,8 | 27,5 |
| 9(24) | Радіус описаного кола R, бісектриса ωα | 14,2 | 13,9 | 17,2 | 44,6 | 42,6 | 38,8 |
| 10(25) | Радіус вписаного кола r, медіана mс | 34,6 | 40,1 | 28,4 | 29,4 | 25,6 | 28,1 |
| 11(26) | Висота hс, бісектриса ωγ | 39,0 | 42,2 | 34,4 | 24,0 | 22,3 | 33,3 |
| 12(27) | Медіана mс, висота ha | 68,4 | 63,2 | 70,8 | 29,4 | 23,7 | 26,8 |
| 13(28) | Бісектриса ωγ, радіус описаного кола R | 28,1 | 26,7 | 33,2 | 28,1 | 26,7 | 33,2 |
| 14(29) | Радіус описаного кола R і вписаного кола r | 41,9 | 49,8 | 36,3 | 11,2 | 13,3 | 16,1 |
| 15(30) | Радіус вписаного кола r, висота hb | 17,8 | 20,5 | 11,6 | 12,8 | 10,4 | 15,6 |
Завдання 1.2. Скласти алгоритм для визначення відповіді при розв’язанні логічної задачі.
|
|
|
1. Сума двох перших цифр заданого чотиризначного числа дорівнює сумі двох його останніх цифр.
2. Сума цифр даного тризначного числа N є парним числом.
3. Точка з координатами (х, у) належить частини площини, що лежить між прямими х = m і х = n (m <n)
4. Квадрат заданого тризначного числа дорівнює кубу суми цифр цього числа
5. Ціле число N є парним двозначним числом
6. Трикутник зі сторонами а, b, с є рівностороннім
7. Трикутник зі сторонами а, b, с є рівнобедреним
8. Трикутник зі сторонами а, b, с є різнобічним
9. Серед чисел а, b, с є хоча б одна пара взаємно протилежних чисел
10. Серед чисел а, b, с є хоча б одна пара взаємно простих чисел
11. Числа а і b виражають довжини катетів одного прямокутного трикутника, а числа а і d - іншого. Ці трикутники є подібними
|
|
|
12. Дано три сторони одного і три сторони іншого трикутника. Ці трикутники рівновеликі, тобто мають рівні площі.
13. Дана трійка натуральних чисел а, b, с є трійкою Піфагора, тобто 
14. Всі цифри даного чотиризначного числа N різні
15. Дані числа х і у є координатами точки, що лежить в першій координатній чверті
16.
і
- координати лівої верхньої і правої нижньої вершин прямокутника, точка А (х, у) лежить всередині цього прямокутника
17. Число з є середнім арифметичним чисел а і b.
18. Натуральне число N є точним квадратом
19. Цифри даного чотиризначного числа N утворюють строго зростаючу послідовність
20. Цифри даного чотиризначного числа N є геометричною прогресією
21. Цифри даного чотиризначного числа N є арифметичною прогресією
22. Дані числа с і d є відповідно квадратом і кубом числа а
23. Цифра М входить в десяткову запис чотиризначного числа N
24. Дане чотиризначне число читається однаково зліва направо і справа наліво
25. Сума двох натуральних чисел кратна 2
Завдання 1.3. Скласти алгоритм, що видає TRUE, якщо точка з координатами (х,у) належить до обмеженої області, і FALSE в іншому випадку.
















