Найбільш простий динамічною структурою є односпрямований список, елементами якого служать об'єкти структурного типу (рис.).
Рисунок 21 – Лінійний односпрямований список
Опис найпростішого елемента такого списку виглядає таким чином:
struct імя_тіпа
{
інформаційне поле;
адресне поле;
};
• інформаційне поле - це поле будь-якого, раніше оголошеного або стандартного, типу;
• адресне поле - це покажчик на об'єкт того ж типу, що і визначувана структура, в нього записується адреса наступного елемента списку.
struct point
{
int data; / / інформаційне поле
point * next; / / адресне поле
};
Інформаційних полів може бути кілька.
Для того, щоб створити список, потрібно створити спочатку перший елемент списку, а потім у циклі додати до нього решту елементів. Додавання може виконуватися як на початок, так і в кінець списку.
/ / Створення односпрямованого списку
/ / Додавання в кінець
point * make_list (int n)
{
point * beg;/ / вказівник на перший елемент
point * p, * r;/ / допоміжні покажчики
beg = new (point);/ / виділяємо пам'ять під перший елемент
cout << "\ n?";
|
|
|
cin >> beg-> data;/ / вводимо значення інформаційного поля
beg-> next = 0;/ / обнуляем адресне поле
/ / Ставимо на цей елемент покажчик p (останній елемент)
p = beg;
for (int i = 0; i <n-1; i + +)
{
r = new (point);/ / створюємо новий елемент
cout << "\ n?";
cin >> r-> data;
r-> next = 0;
p-> next = r;/ / пов'язуємо p і r
/ / Ставимо на r покажчик p (останній елемент)
p = r;
}
return beg;/ / повертаємо beg як результат функції
}
Для обробки списку організується цикл, в якому потрібно переставляти покажчик p за допомогою оператора p = p-> next на наступний елемент списку до тих пір, поки вказівник p не стане дорівнює 0, тобто буде досягнутий кінець списку.
void print_list (point * beg)
/ / Друк списку
{
point * p = beg;/ / початок списку
while (p! = 0)
{
cout << p-> data << "\ t";
p = p-> next;/ / перехід до наступного елементу
}
}
В динамічні структури легко додавати елементи і з них легко видаляти елементи, тому що для цього достатньо змінити значення адресних полів.

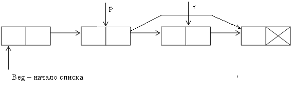
Рисунок 22 – Додавання елемента в список
point * add_point (point * beg, int k)
/ / додавання елемента з номером k
{
point * p = beg;/ / встали на перший елемент
point * New = new (point);/ / створили новий елемент
cout << "Key?"; cin >> New-> data;
if (k == 0) / / додавання в початок, якщо k = 0
{
New-> next = beg;
beg = New;
return beg;
}
for (int i = 0; i <k-1 && p! = 0; i + +)
p = p-> next;/ / проходимо по списку до (k-1) елемента або до кінця
if (p! = 0) / / якщо k-й елемент існує
{
New-> next = p-> next;/ / пов'язуємо New і k-й елемент
p-> next = New;/ / пов'язуємо (k-1) елемент і New
}
return beg;
}

Рисунок 23 – Видалення елемента зі списку
point * del_point (point * beg, int k)
/ / Видалення елемента з номером k зі списку
{
point * p = beg;
if (k == 0) / / видалення першого елемента
{
beg = beg-> next;
delete p;
return beg;
}/ / Проходимо по списку до елемента з номером k-1
|
|
|
for (int i = 1; i <k&&p-> next! = 0; i + +)
p = p-> next;
/ * Якщо такого елемента в списку немає, то повертаємо покажчик на початок списку в якості результату функції * /if (p-> next == 0) return beg;
point * r = p-> next;/ / ставимо покажчик r на k-й елемент
p-> next = r-> next;/ / пов'язуємо k-1 і k +1 елемент
delete r;/ / видаляємо k-й елемент з пам'яті
return beg;
}
2.1. Двонаправлені списки
Двонаправлений список має два адресних поля, які вказують на наступний елемент списку і на попередній. Тому рухатися по такому списку можна як зліва направо, так і справа наліво.
/ / Формування двонаправленого списку
struct point
{
char * key;/ / адресне поле - динамічна рядок
point * next;/ / покажчик на наступний елемент
point * pred;/ / покажчик на попередній елемент
};
point * make_point ()
/ / Створення одного елемента
{
point * p = new (point);
p-> next = 0; p-> pred = 0;/ / обнуляем покажчики
char s [50];
cout << "\ nEnter string:";
cin >> s;
p-> key = new char [strlen (s) +1];/ / виділення пам'яті під рядок
strcpy (p-> key, s);
return p;
}
point * make_list (int n)
/ / Створення списку
{
point * p, * beg;
beg = make_point ();/ / створюємо перший елемент
for (int i = 1; i <n; i + +)
{
p = make_point ();/ / створюємо один елемент
/ / Додавання елемента в початок списку
p-> next = beg;/ / пов'язуємо р з першим елементом
beg-> pred = p;/ / пов'язуємо перший елемент з p
beg = p;/ / p стає першим елементом списку
}
return beg;
}
2.3. Черга і стек
Черга і стек - це окремі випадки односпрямованого списку.
У стеці додавання і видалення елементів здійснюються з одного кінця, який називається вершиною стека. Тому для стека можна визначити функції:
• top () - доступ до вершини стека
• pop () - видалення елемента з вершини;
• push () - додавання елемента в вершину.
Такий принцип обслуговування називають LIFO (last in - first out, останній прийшов, перший пішов).
У черзі додавання здійснюється в один кінець, а видалення з іншого кінця. Такий принцип обслуговування називають FIFO (first in - first out, перший прийшов, перший пішов). Для черзі також визначають функції:
• front () - доступ до першого елемента;
• back () - доступ до останнього елемента;
• pop () - видалення елемента з кінця;
• push () - додавання елемента в початок.
2.4. Бінарні дерева
Бінарне дерево - це динамічна структура даних, що складається з вузлів, каждий з яких містить, крім даних, не більше двох посилань на різні бінарні дерева. На кожен вузол є рівно одне посилання.
Описати таку структуру можна наступним чином:
struct point
{
int data;/ / інформаційне поле
point * left;/ / адресу лівого піддерева
point * right;/ / адресу правого піддерева
};
Початковий вузол називається коренем дерева. Вузол, що не має піддерев, називається листом. Вихідні вузли називаються предками, вхідні - нащадками. Висота дерева визначається кількістю рівнів, на яких розташовуватисьються його вузли.
Якщо дерево організовано таким чином, що для кожного вузла всі ключі його левого поддерева менше ключа цього вузла, а всі ключі його правого піддерева - більше, воно називається деревом пошуку. Однакові ключі не допускаються. У дереві пошуку можна знайти елемент по ключу, рухаючись від кореня і переходячи на ліве або праве піддерево в залежності від значення ключа в кожному вузлі. Такий пошук набагато ефективніше пошуку за списком, оскільки час пошуку визначається висотою дерева, а вона пропорційна двійковому логарифму количества вузлів.
В ідеально збалансованому дереві кількість вузлів справа і слева відрізняється не більше ніж на одиницю.
Лінійний список можна представити як вироджені бінарне дерево, в якому кожен вузол має не більше одного посилання. Для списку середній час пошуку одно половині довжини списку.
Дерева і списки є рекурсивними структурами, тому що кожне піддерево також є деревом. Таким чином, дерево можна визначити як рекурсивну структуру, в якій кожен елемент є:
• або порожній структурою;
• або елементом, з яким пов'язано кінцеве число піддерев.
Дії з рекурсивними структурами найзручніше описуються за допомогою рекурсивних алгоритмів.
|
|
|
2.4.1. обхід дерева
Для того, щоб виконати певну операцію над усіма вузлами дерева, всі вузли треба обійти. Така задача називається обходом дерева. При обході вузли повинні відвідуватися в певному порядку. Існують три принципи упорядкування. Розглянемо дерево, представлене на рис.
| Корень |
| Левое поддерево |
| Правое поддерево |
Рисунок 24 – Бінарне дерево
На цьому дереві можна визначити три методи упорядкування:
Зліва направо: Ліве піддерево - Корінь - Праве піддерево;
Зверху вниз: Корінь - Ліве піддерево - Праве піддерево;






