Ваши мать и отец также имели эго-состояния Родителя, Взрослого и Ребенка. Они передавали вам сценарные послания, исходящие из каждого из их эго-состоя-ний, а вы приняли и распределили их в трех ваших эго-состояниях.
Возьмите большой лист бумаги и нарисуйте на нем пустую сценарную матрицу (рис. 4.3), в которую можно записывать полученные от родителей послания. Работайте быстро, доверяя своей интуиции.
Приказания. Просмотрев список приказаний, продумайте, ассоциируется ли каждое из этих приказаний с пережитыми вами жизненными трудностями или не-

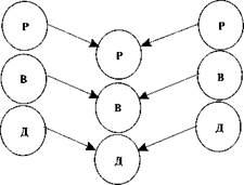
Рис. 2.3. Сценарная матрица
приятными чувствами. Отметьте приказания, которые являются важными для вас. Имейте в виду, что некоторые приказания исходят от обоих родителей. Помните ли вы, в какой форме родитель давал вам это приказание? Оно выражалось в форме прямых указаний или косвенно (невербальными сообщениями, намеками)? Если вы сомневаетесь, работайте интуитивно. Если вы найдете более подходящее название для приказания, поставьте его в скобках после общепринятого обозначения, например: «Не будь ребенком (Не радуйся)».
|
|
|
Контрсценарий. Вспомните указания и запреты (фразы «Делай...», «Не делай...»), а также девизы и лозунги, которые родители вам часто говорили в детстве. Когда каждый из родителей был доволен вами? Недоволен?
Какие они употребляли слова, чтобы показать, что они довольны или недовольны вами? Что они советовали для того, чтобы вы достигли успеха? Исходя из этого, определите ваш контрсценарий. Это легко можно сделать, вспомнив, от какого родителя исходил каждый приказ. Если не можете вспомнить, попробуйте догадаться. Иногда контрсценарий может исходить от других родственников или школьных учителей.
Программа. При заполнении сценарной матрицы мы обычно рассматриваем лишь негативную часть программы – для выявления тысяч полученных от родителей позитивных указаний «Вот как надо...» не хватило бы никакого места. Помните, что негативная программа исходит от эго-состояния Взрослого вашего отца или матери, находящегося под влиянием его (ее) Ребенка или Родителя, хотя на диаграмме она направлена просто из круга Взрослого. Говорил ли каждый из родителей, как нужно достичь определенного сценарного результата? Часто один из родителей показывает, как подчиняться приказанию или контрприказанию, полученному от другого. Например, мать может передать вам послание «Не чувствуй», а отец показывает «Вот как надо не чувствовать». Запишите вашу негативную программу предложениями, начинающимися «Вот как надо...». У некоторых людей нет явных негативных посланий в программе. Поэтому, если вы не можете их выявить, оставьте часть вашей матрицы незаполненной.
|
|
|
Использование фантазии, сказок и снов. Вернитесь к материалам, полученным при выполнении упражнений с фантазией, сказками и снами и записанным в свободной форме. Проанализируйте их в терминах формальной сценарной матрицы. Используйте ваше мышление и интуицию для выявления связей между этими данными и информацией в матричной диаграмме. Соответственно измените или исключите отдельные данные в вашей матрице.






