Лабораторная работа № 3.5р
Экспериментальная проверка закона Ампера
Цель работы: исследовать зависимость силы Ампера от длины проводника, силы тока в проводнике и индукции магнитного поля.
Оборудование: рычажные весы, амперметры, источник тока, набор проводников различной длины.
Теория эксперимента
Фундаментальным свойством магнитного поля является его действие на движущиеся заряды и проводники с током. Датским физиком Х. Эрстедом в 1820 году было впервые обнаружено действие электрического тока на магнитную стрелку, тем самым было доказано, что электрический ток является источником магнитного поля. Сразу же после открытия Эрстеда французский ученый А. Ампер провел экспериментальное исследование силового взаимодействие электрических токов. На основании этих экспериментов Ампером был сформулирован закон взаимодействия электрических токов.
По своей сути он подобен закону взаимодействия точечных зарядов (закону Кулона). Но вместо точечных зарядов в этом законе используется понятие небольши х по размеру проводников с током (элементов тока или элементарных токов).
Под элементарным током (элементом тока) подразумевают вектор
где
— сила тока в проводнике,
— элементарный (бесконечно малый) векторизованный элемент проводника. Его модуль равен длине бесконечно малого участка проводника с током, а направление совпадает с направлением тока в проводнике.
Закон Ампера, определяющий силу взаимодействия элементарных токов
и
, записанный в системе физических единиц СИ, имеет вид:
| (1) |
где индексы 1 и 2 относятся соответственно к первому и второму элементам тока, а
— радиус-вектор 2-го элемента тока относительно 1-го элемента тока.
Структуру уравнения (1) можно пояснить на основе аналогии сил магнитного взаимодействия элементов тока и сил кулоновского и гравитационного взаимодействия, которые пропорциональны соответственно точечным зарядам
массам
и обратно пропорциональны квадрату[1] расстояния между точечными зарядами или массами.
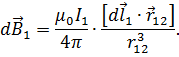
Для дальнейших выводов формулу (1) преобразуем, используя закон Био–Савара–Лапласа. При этом будем полагать, что второй элемент тока
находится в магнитном поле, создаваемом первым элементом тока
. Тогда по закону Био–Савара–Лапласа индукция магнитного поля, создаваемого 1-ым элементом в точке, где находится второй элемент тока, равна:
| (2) |
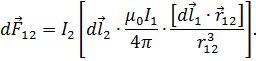
Кроме того, формулу (1) перегруппируем, учитывая, что скалярные величины можно вносить и выносить из знака векторного произведения. Тогда формула (1) примет вид:
| (3) |
Сравнивая выражения (2) и (3), легко увидеть, что сила
может быть представлена формулой:
| (4) |
В таком виде формула (4) определяет элементарную силу, действующую на элемент второго тока
со стороны магнитного поля с индукцией
, создаваемого элементом первого тока
.
Чтобы учесть действие всех элементов первого тока
на элемент второго тока
, нужно сложить все элементарные индукции, создаваемые всеми элементарными токами
первого проводника.. Тем самым, найдем магнитную индукцию
результирующего магнитного поля, создаваемого первым проводником в месте расположения элемента второго тока:

Если для общности рассуждений заменить элемент второго тока
на элемент тока
, который находится в результирующем магнитном поле
первого проводника, то получим формулу:
| (5) |
Формулу (5) также называют законом Ампера, но определяющим элементарную силу, действующую на бесконечно малый проводник
в магнитном поле с индукцией
.
Направление силы
определяется правилом векторного произведения:
|
|
|
| Рис. 1. К определению направления векторного произведения |
перпендикулярен плоскости, в которой лежат векторы
и
;
2) вектор силы направлен в ту сторону перпендикуляра к этой плоскости, с которой поворот от 1-го (
) множителя ко 2-му (
) в кратчайшем направлении виден против часовой стрелки. Данное определение иллюстрируется рис. 1.
Этому правилу соответствует мнемоническое правило буравчика: ориентируем ось буравчика перпендикулярно плоскости, в которой располагаются вектора
и
и вращаем рукоятку буравчика в направлении от конца 1-го (
) множителя к концу 2-го (
) множителя в кратчайшем направлении, как показано на рис.1. Тогда направление поступательного движения буравчика соответствует направлению силы Ампера
. Существует еще один вариант определения направления силы Ампера – это правило левой руки [1, § 111].
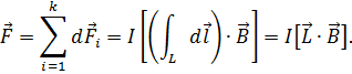
Формула (5) определяет элементарную силу, действующую на бесконечно малый элемент тока
. Если магнитное поле однородно (
= const), а проводник прямой и имеет конечную длину L, то результирующая сила, действующая на все элементы этого проводника, равна векторной сумме сил
, действующей на все элементы этого проводника:
| (6) |
При интегрировании в (6) постоянные множители вынесли за пределы интегрирования. Таким образом, для прямого провода конечной длины в однородном магнитном поле сила Ампера определяется формулой:
или .
| (7) |
Если угол между векторами
и
равен 90º, то формула (7) упрощается и принимает вид:
.
| (8) |
Формула (8) и подвергается экспериментальной проверке.
В данной лабораторной работе сила Ампера определяется с помощью рычажных весов. Её будем обозначать
— экспериментальная сила Ампера. Получим формулу для экспериментальной силы Ампера
.
| N |
| S |
|
|
| Рис. 2 |
(рис. 2). Для равновесия весов к их правому плечу нужно приложить такую же силу
.
Если по проводнику пустить ток, то на него в магнитном поле будут действовать уже две силы: сила тяжести
и сила Ампера
(рис.3). Причем, направление
будет зависеть от направления тока и направления магнитной индукции магнитного поля
(смотри правило буравчика или правило левой руки).
| N |
| S |
|
|
|
|
|
| N |
| S |
|
|
|
|
|
| a) |
| б) |
Рис. 3.
Результирующая этих двух сил равна
. Для равновесия весов к их правому плечу нужно приложить такую же силу
(рис. 3, а, б). Модуль результирующей силы равен
(рис. 3, а) или
(рис. 3, б). Тогда из этих формул сила Ампера равна
или
Эти две формулы можно объединить в одну
. Силы
и
определяются при уравновешивании весов по показаниям весов
и
соответственно. Тогда экспериментальная сила Ампера равна
| (9) |
Таким образом, в данной работе определение силы Ампера сводится к взвешиванию проводника на рычажных весах в отсутствии (масса
) и при наличии тока в проводнике (масса
). Если приравнять формулы экспериментальной
(9) и теоретической сил Ампера
(8), то получим

Из этой формулы и формулы (8) можно предположить, что сила Ампера прямо пропорциональна силе тока, длине проводника и магнитной индукции.
В данной работе необходимо проверить это предположение и сделать соответствующий вывод.
или
.
.






