Задание 1.В программе MS Word создайте документ, сохраните под именем ПР6Фамилия в своей папке. Для построения блок-схем использовать инструменты Лента/Вставка/Фигуры
Разработайте задачу, при решении которой используется линейный алгоритм, создайте алгоритм для её решения.
Задание 2. Создайте алгоритм для решения следующей задачи:
у Иванова есть 100 р., он пошел в магазин за книгой. Если нужная ему книга стоит дороже 100 р., то он вернется домой, а если дешевле 100 р. или ровно 100 р., то купит её. Назовите используемой вид алгоритма.
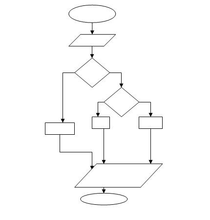
Задание 3. Разработайте задачу по технологии приготовления продуктов питания, которую можно решить с помощью следующего алгоритма. Заполните блок-схему.

Задание 4. Изучив теоретический материал, ответьте на вопросы:
| Вопрос | Ответ |
| Какие графические объекты используются для наглядного представления алгоритма? Приведите обозначения. | |
| Дайте определение понятия «алгоритм» | |
| Перечислите и опишите основные виды алгоритмов | |
| Чем отличаются алгоритмы с условием от алгоритмов со счетчиками? |






