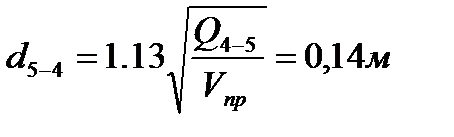
Расчет участка 5-4:
Транзитные расходы для всех участков подсчитаны, для них выбираем предельную скорость: v пр=1 м/с,
Определим диаметр по формуле:

По таблице выбираем стандартную расходную характеристику K5-4 для зоны развитого турбулентного течения и выбранного сортамента труб (для данного варианта – трубы новые).
K’5-4 = 177,2 л/с;
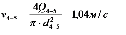
Определяем скорость потока

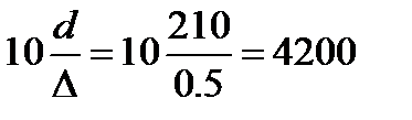
Определяем зону графика Никурадзе:
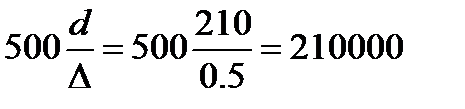
∆ - шероховатость; ∆ = 0,5мм
; 
Re – число Рейнольдца;

– коэфф. кинематической вязкости; ν = 10-6
Re >
Следовательно мы можем принять модуль K’5-4 для дальнейших расчетов без уточнения.
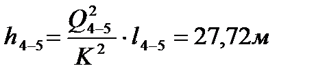
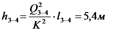
Потери напора на участке:
l5-4 – длина участка 5-4

Напор в конце участка:
H5=z5+hзад=33+20=55 м
Напор в начале участке:
H4= H5+h5-4=55+27,72=82,72 м
hзад – гарантируемый напор в узлах расхода, hзад=20 м;
z5 – геодезическая отметка.
Определяем рабочий напор в начале участка:
hp4= H4-z4=82,72-50=32,72 м
Таким образом, hp4 > hзад, что удовлетворяет заданию.
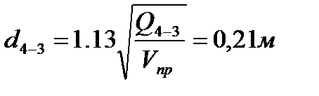
Расчет участка 4-3:
Предельная скорость: v пр=1 м/с,,
Определим диаметр по формуле:

По таблице выбираем стандартную расходную характеристику K4-3.
K’4-3 = 515,2 л/с;
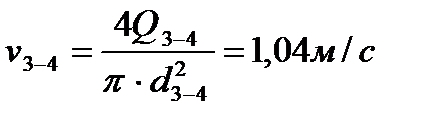
Определяем скорость потока

Определяем зону графика Никурадзе:
∆ - шероховатость; ∆ = 0,5мм
; 
Re – число Рейнольдца;

– коэфф. кинематической вязкости; ν = 10-6
Re >
Следовательно мы можем принять модуль K’3-4 для дальнейших расчетов без уточнения.
Потери напора на участке:
l4-3 – длина участка 4-3

Напор в конце участка:
H4=82,72 м
Напор в начале участке:
H3= H4+h4-3=82,72 + 5,4 = 88,12
Определяем рабочий напор в начале участка:
hp3= H3-z3=88,12-35=53,12 м
Таким образом, hр3 > hзад, что удовлетворяет заданию.
Расчет участка 3-2:
Предельная скорость: v пр=1,2 м/с,,
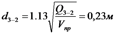
Определим диаметр по формуле:

По таблице выбираем стандартную расходную характеристику K4-3.
K’3-2= 657 л/с;
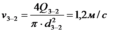
Определяем скорость потока

Определяем зону графика Никурадзе:
∆ - шероховатость; ∆ = 0,5мм
; 
Re – число Рейнольдца;

– коэфф. кинематической вязкости; ν = 10-6
Re >
Следовательно мы можем принять модуль K’3-4 для дальнейших расчетов без уточнения.
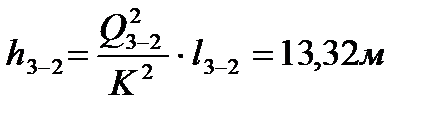
Потери напора на участке:
l2-3 – длина участка 2-3

Напор в конце участка:
H3=88,12 м
Напор в начале участке:
H2= H3+h2-3=88,12+13,32=101,44 м
Определяем рабочий напор в начале участка:
hp2= H2-z2=101,44-47=54,44 м
Таким образом, hp4 > hзад, что удовлетворяет заданию.
Расчет участка 2-1:
Предельная скорость: v пр=1,4 м/с,,
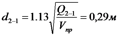
Определим диаметр по формуле:

По таблице выбираем стандартную расходную характеристику K4-3.
K’2-1= 1190 л/с;
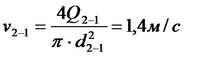
Определяем скорость потока

Определяем зону графика Никурадзе:
∆ - шероховатость; ∆ = 0,5мм
; 
Re – число Рейнольдца;

– коэфф. кинематической вязкости; ν = 10-6
Re >
Следовательно мы можем принять модуль K’3-4 для дальнейших расчетов без уточнения.
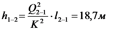
Потери напора на участке:
l1-2 – длина участка 1-2

Напор в конце участка:
H2=101,44 м
Напор в начале участке:
H1= H2+h1-2=101,44+18,7=120,16 м
Определяем рабочий напор в начале участка:
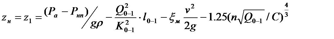
hp1= H1-z1
,
где
м,
n = 900 об/мин = 15 об/с,
С = 1000,
-коэффициент местных сопротивлений.
м
hp1= H1-z1=120,16-4,99=115,2 м.






