Объектом налогообложения по налогу на прибыль организаций согласно ст.247 НК РФ является прибыль, полученная налогоплательщиком.
Для каждой группы налогоплательщиков предусмотрен самостоятельный порядок определения прибыли в качестве объекта налогообложения.
Прибылью для российских организаций являются полученные доходы, уменьшенные на величину произведенных расходов, определяемых в соответствии с гл.25 "Налог на прибыль организаций" НК РФ.
Прибыль = Доход – Расход
Прибылью для иностранных организаций, осуществляющих деятельность в РФ через постоянные представительства в РФ, являются полученные через эти постоянные представительства доходы, уменьшенные на величину произведенных этими постоянными представительствами расходов, определяемых в соответствии с гл.25 "Налог на прибыль организаций" НК РФ.
Прибыль = Доход представительства - Расход представительства
Прибылью для иных иностранных организаций, не осуществляющих деятельность через постоянные представительства в РФ, являются доходы, полученные от источников в РФ, определяемые в соответствии со ст.309 НК РФ.
Прибыль = Доход от источников в РФ
Общее определение дохода дается в ст.41 НК РФ: доходом признается экономическая выгода в денежной или натуральной форме, учитываемая в случае возможности ее оценки и в той мере, в которой такую выгоду можно оценить.
В целях налогообложения прибыли доходы и расходы сгруппированы определенным образом.
Доходы налогоплательщиков(ст.248) подразделяются на две группы: доходы от реализации и внереализационные доходы.
Доходом от реализации (ст.249) признается выручка от реализации товаров, работ, услуг и имущественных прав.
К внереализационным доходам (ст.250)относятся доходы, не связанные с реализацией товаров работ и услуг, а также имущественных прав, в т.ч.:
· от долевого участия в других организациях;
· штрафы, пени и иные санкции за нарушение договорных обязательств, а также суммы возмещения убытков или ущерба;
· от сдачи имущества в аренду;
· от предоставления в пользование прав на результаты интеллектуальной деятельности;
· в виде процентов, полученных по договорам займа, кредита, банковского счета, банковского вклада, а также по ценным бумагам и другим долговым обязательствам;
· в виде безвозмездно полученного имущества (работ, услуг) или имущественных прав;
· и ряд других доходов.
Некоторые доходы, полученные налогоплательщиком, не включаются в налоговую базу (ст.251). К ним относятся доходы:
· в виде имущества, имущественных прав, которые получены в форме залога или задатка в качестве обеспечения обязательств;
· в виде имущества, полученного в счет вкладов в уставный (складочный) капитал организации;
· в виде средств и иного имущества, полученных в качестве безвозмездной помощи (содействия) в порядке, установленном российским законодательством;
· в виде имущества, полученного бюджетными учреждениями по решению органов исполнительной власти всех уровней;
· в виде средств или иного имущества, полученных по договорам кредита или займа или в счет погашения таких заимствований;
· в виде имущества, полученного налогоплательщиком в рамках целевого финансирования;
и другие аналогичные доходы.
Для определения прибыли налогоплательщики уменьшают полученные доходы на сумму расходов.
Расходами признаются (ст.252) обоснованные и документально подтвержденные затраты, осуществленные налогоплательщиком, а в некоторых случаях, предусмотренных НК, убытки, понесенные налогоплательщиком.
Под обоснованными расходами понимаются экономически оправданные затраты, оценка которых выражена в денежной форме.
Расходы в зависимости от их характера, подразделяются на расходы, связанные с производством и реализацией, и внереализационные расходы.
К расходам, связанным с производством (ст.253)и реализацией, отнесены затраты:
· на изготовление, хранение и доставку товаров, выполнение работ, оказание услуг, приобретение и реализацию товаров (работ, услуг, имущественных прав);
· на содержание и эксплуатацию, ремонт и техническое обслуживание основных средств и иного имущества, а также на поддержание их в исправном (актуальном) состоянии;
· на освоение природных ресурсов;
· на научные исследования и опытно-конструкторские разработки;
· на обязательное и добровольное страхование;
· прочие расходы, связанные с производством и (или) реализацией.
Расходы, связанные с производством и реализацией по функциональному назначению объединяются в 4 группы:
1) материальные расходы;
2) расходы на оплату труда;
3) суммы начисленной амортизации;
4) прочие расходы.
Налоговый кодекс определяет конкретные виды затрат, включаемых в каждую из указанных групп.
Материальные расходы (ст.254) включают в себя затраты налогоплательщика на приобретение:
ü сырья и материалов, используемых в производстве продукции, работ, услуг;
ü материалов, используемых для упаковки продукции;
ü инструментов, оснастки, спецодежды;
ü комплектующих и полуфабрикатов;
ü топлива, воды, энергии
ü и некоторые другие расходы.
К расходам на оплату труда (ст.255) относятся:
ü суммы, начисленные по тарифным ставкам, должностным окладам, сдельным расценкам или в процентах от выручки в соответствии с принятыми у налогоплательщика формами и системами оплаты труда;
ü начисления стимулирующего характера, в том числе премии за производственные результаты, надбавки к тарифным ставкам и окладам за профессиональное мастерство, высокие достижения в труде и иные подобные показатели;
ü начисления стимулирующего и (или) компенсирующего характера, связанные с режимом работы и условиями труда, в том числе надбавки к тарифным ставкам и окладам за работу в ночное время, работу в тяжелых, вредных, условиях труда, за сверхурочную работу и работу в выходные и праздничные дни, производимые в соответствии с законодательством РФ;
ü стоимость бесплатно предоставляемых работникам в соответствии с законодательством РФ коммунальных услуг, питания и продуктов, предоставляемого работникам налогоплательщика в соответствии с установленным законодательством РФ порядком бесплатного жилья (суммы денежной компенсации за непредоставление бесплатного жилья, коммунальных и иных подобных услуг);
ü сумма начисленного работникам среднего заработка, сохраняемого на время выполнения ими государственных и (или) общественных обязанностей и в других случаях, предусмотренных законодательством РФ;
ü расходы на оплату труда, сохраняемую работникам на время отпуска, предусмотренного законодательством РФ;
ü денежные компенсации за неиспользованный отпуск в соответствии с трудовым законодательством Российской Федерации;
и ряд других расходов.
Для расчета сумм начисленной амортизации в целях налогообложения установлен особый порядок (ст.256 – 259).
Амортизируемым имуществом признается имущество (основные средства и нематериальные активы) со сроком полезного использования более 12 месяцев и первоначальной стоимостью более 40 000 рублей.
Амортизируемое имущество подразделяется на 10 амортизационных групп в соответствии со сроками его полезного использования. Сроком полезного использования признается период, в течение которого объект основных средств или объект нематериальных активов служит для достижения целей деятельности налогоплательщика. Срок полезного использования определяется налогоплательщиком самостоятельно на дату ввода в эксплуатацию объекта амортизируемого имущества в соответствии с классификацией основных средств, утверждаемой Правительством РФ[3].
Амортизируемое имущество объединяется в следующие амортизационные группы:
первая группа - все недолговечное имущество со сроком полезного использования от 1 года до 2 лет включительно;
вторая группа - имущество со сроком полезного использования свыше 2 лет до 3 лет включительно;
третья группа - имущество со сроком полезного использования свыше 3 лет до 5 лет включительно;
четвертая группа - имущество со сроком полезного использования свыше 5 лет до 7 лет включительно;
пятая группа - имущество со сроком полезного использования свыше 7 лет до 10 лет включительно;
шестая группа - имущество со сроком полезного использования свыше 10 лет до 15 лет включительно;
седьмая группа - имущество со сроком полезного использования свыше 15 лет до 20 лет включительно;
восьмая группа - имущество со сроком полезного использования свыше 20 лет до 25 лет включительно;
девятая группа - имущество со сроком полезного использования свыше 25 лет до 30 лет включительно;
десятая группа - имущество со сроком полезного использования свыше 30 лет.
Налогоплательщики начисляют амортизацию одним из двух методов:
1) линейным методом;
2) нелинейным методом.
Налогоплательщик выбирает метод начисления амортизации по объектам, входящим в семь первых групп, в которых числится имущество со сроком полезного использования до 20 лет включительно. Изменение метода начисления амортизации допускается с начала очередного налогового периода. При этом налогоплательщик вправе перейти с нелинейного метода на линейный метод начисления амортизации не чаще одного раза в пять лет[4].
В отношении зданий, сооружений, передаточных устройств, нематериальных активов, входящих в 8 - 10 группы, может применяться только линейный метод.
Сумма амортизации для целей налогообложения определяется налогоплательщиками ежемесячно. Амортизация начисляется отдельно по каждой амортизационной группе (подгруппе) при применении нелинейного метода[5] начисления амортизации или отдельно по каждому объекту амортизируемого имущества при применении линейного метода начисления амортизации.
Начисление амортизации по объекту амортизируемого имущества начинается с 1-го числа месяца, следующего за месяцем, в котором он был введен в эксплуатацию и прекращается с 1-го числа месяца, следующего за месяцем, когда произошло полное списание стоимости такого объекта или когда он выбыл из состава амортизируемого имущества налогоплательщика.
Начисление амортизации осуществляется в соответствии с нормой амортизации, определенной для объекта исходя из его срока полезного использования.
При применении линейного метода норма амортизации по каждому объекту амортизируемого имущества определяется по формуле:
К = [1/n] х 100%,
где К - норма амортизации в процентах к первоначальной (восстановительной) стоимости;
n - срок полезного использования, выраженный в месяцах.
При применении линейного метода сумма начисленной за месяц амортизации определяется как произведение первоначальной (восстановительной) стоимости и нормы амортизации.
С 01.01. 09г. в связи с изменениями, внесенными в НК РФ, нелинейный метод будет применяется в следующем порядке.
На 1-е число налогового периода, с начала которого учетной политикой для целей налогообложения установлено применение нелинейного метода начисления амортизации, для каждой амортизационной группы (подгруппы) определяется суммарный баланс, который рассчитывается как суммарная стоимость всех объектов амортизируемого имущества, отнесенных к данной амортизационной группе (подгруппе).
В дальнейшем суммарный баланс каждой амортизационной группы (подгруппы) определяется на 1-е число месяца, для которого определяется сумма начисленной амортизации.
По мере ввода в эксплуатацию объектов амортизируемого имущества первоначальная стоимость таких объектов увеличивает суммарный баланс соответствующей амортизационной группы (подгруппы). При этом первоначальная стоимость таких объектов включается в суммарный баланс соответствующей амортизационной группы (подгруппы) с 1-го числа месяца, следующего за месяцем, когда они были введены в эксплуатацию.
При выбытии объектов амортизируемого имущества суммарный баланс соответствующей амортизационной группы (подгруппы) уменьшается на остаточную стоимость таких объектов.
В случае, если в результате выбытия амортизируемого имущества суммарный баланс соответствующей амортизационной группы (подгруппы) был уменьшен до достижения суммарным балансом нуля, такая амортизационная группа (подгруппа) ликвидируется.
Суммарный баланс каждой амортизационной группы (подгруппы) ежемесячно уменьшается на суммы начисленной по этой группе (подгруппе) амортизации.
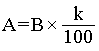
Сумма начисленной за один месяц амортизации для каждой амортизационной группы (подгруппы) определяется исходя из произведения суммарного баланса соответствующей амортизационной группы (подгруппы) на начало месяца и норм амортизации, установленных в статье 259.2, по следующей формуле:
,
где А - сумма начисленной за один месяц амортизации для соответствующей амортизационной группы (подгруппы);
В - суммарный баланс соответствующей амортизационной группы (подгруппы);
k - норма амортизации для соответствующей амортизационной группы (подгруппы).
В целях применения нелинейного метода начисления амортизации применяются следующие нормы амортизации:
| Амортизационная группа | Норма амортизации (месячная). % |
| Первая | 14,3 |
| Вторая | 8,8 |
| Третья | 5,6 |
| Четвертая | 3,8 |
| Пятая | 2,7 |
| Шестая | 1,8 |
| Седьмая | 1,3 |
| Восьмая | 1,0 |
| Девятая | 0,8 |
| Десятая | 0,7 |
В месяце, следующем за месяцем суммарный баланс амортизационной группы (подгруппы) становится менее 20 000 рублей, налогоплательщик вправе ликвидировать указанную группу (подгруппу), при этом значение суммарного баланса относится на внереализационные расходы текущего периода.
С 2006г. налогоплательщикам было предоставлено право включать в расходы отчетного (налогового) периода, учитываемые для целей налогообложения, расходы на капитальные вложения в размере не более 10 процентов (30% по основным средства, входящим в 3-7 группы) первоначальной стоимости основных средств (за исключением основных средств, полученных безвозмездно), а также не более 10 процентов расходов, понесенных в случаях достройки, дооборудования, реконструкции, модернизации, технического перевооружения, частичной ликвидации основных средств. Эта норма направлена на повышение инвестиционной активности налогоплательщика.
Если налогоплательщик использует указанное право, соответствующие объекты основных средств после их ввода в эксплуатацию включаются в амортизационные группы (подгруппы) по своей первоначальной стоимости за вычетом не более 10 процентов (30% по основным средства, входящим в 3-7 группы) первоначальной стоимости, отнесенных в состав расходов отчетного (налогового) периода, а суммы, на которые изменяется первоначальная стоимость объектов в случаях достройки, дооборудования, реконструкции, модернизации, технического перевооружения, частичной ликвидации объектов, учитываются в суммарном балансе амортизационных групп (подгрупп) (изменяют первоначальную стоимость объектов, амортизация по которым начисляется линейным методом) за вычетом не более 10 процентов таких сумм.
К прочим расходам, связанным с производством и реализацией, в частности относятся следующие расходы налогоплательщика (ст.264):
ü суммы налогов и сборов, таможенных пошлин и сборов;
ü расходы на сертификацию продукции и услуг;
ü расходы на содержание служебного транспорта;
ü расходы на компенсацию за использование для служебных поездок личных легковых автомобилей и мотоциклов в пределах норм, установленных Правительством РФ;
ü арендные (лизинговые) платежи за арендуемое (принятое в лизинг) имущество
ü расходы на командировки
ü и ряд других расходов.
В состав внереализационных расходов (ст.265), не связанных с производством и реализацией, включаются обоснованные затраты на осуществление деятельности, непосредственно не связанной с производством и реализацией. К ним, в частности, относятся, расходы:
· на содержание переданного по договору аренды (лизинга) имущества (включая амортизацию по этому имуществу);
· в виде процентов по долговым обязательствам;
· на организацию выпуска собственных ценных бумаг;
· на формирование резервов по сомнительным долгам;
· на ликвидацию выводимых из эксплуатации основных средств, включая суммы недоначисленной амортизации;
· на аннулированные производственные заказы, а также затраты на производство, не давшее продукции;
· на услуги банков;
· другие обоснованные расходы.
В целях налогообложения к внереализационным расходам приравниваются убытки, полученные налогоплательщиком в отчетном (налоговом) периоде.
Не все расходы, осуществляемые налогоплательщиком в отчетном (налоговом) периоде могут приниматься к уменьшению суммы полученных за данный период доходов (ст.270).
При определении налоговой базы не учитываются, в частности, следующие расходы:
· суммы начисленных налогоплательщиком дивидендов;
· пени, штрафы и иные санкции, перечисляемые в бюджет и государственные внебюджетные фонды;
· взносы в уставный (складочный) капитал;
· платежи за сверхнормативные выбросы загрязняющих веществ в окружающую среду;
· затраты на приобретение или создание амортизируемого имущества;
· вознаграждения руководству или работникам помимо вознаграждений, выплачиваемых на основании трудовых договоров (контрактов);
· премии, выплачиваемые работникам за счет средств специального назначения или целевых поступлений;
· материальная помощь работникам.
Помимо указанных выше и еще целого ряда аналогичных расходов, не учитываемых в целях налогообложении прибыли, также не учитываются расходы, не являющиеся обоснованными или документально подтвержденными.






