Основной труд немецкого экономиста и социолога А. Вебера (A. Weber) "О размещении промышленности: чистая теория штандорта" был опубликован в 1909 г. А. Вебер поставил перед собой задачу создать общую "чистую" теорию размещения производства на основе рассмотрения изолированного предприятия. Он делает существенный шаг вперед по сравнению с Й.Тюненом и В.Лаунхардтом, введя в теоретический анализ новые факторы размещения производства в дополнение к транспортным издержкам и ставя более общую оптимизационную задачу: минимизацию общих издержек производства, а не только транспортных.
А. Вебер создал подробную классификацию факторов размещения по их влиянию, степени общности и проявлениям. Фактором размещения он называет экономическую выгоду, "которая выявляется для хозяйственной деятельности в зависимости от места, где осуществляется эта деятельность. Эта выгода заключается в сокращении издержек по производству и сбыту определенного промышленного продукта и означает, следовательно, возможность изготовлять данный продукт в одном каком-либо месте с меньшими издержками, чем в другом месте".
В результате отсеивания элементов производственных издержек, не зависящих от местоположения, А. Вебер оставляет три фактора: издержки на сырые материалы; издержки на рабочую силу; транспортные издержки. Однако первый из них — разницу в ценах на используемые материалы — можно, как считает А. Вебер, выразить в различиях транспортных издержек, исключив из самостоятельного анализа. Все же остальные условия, влияющие на размещение предприятия, он рассматривает как некоторую "объединенную агломерационную силу", или третий штандортный фактор. Таким образом, в конечном счете анализируются три фактора: транспорт, рабочая сила, агломерация.
Дальнейший анализ проводится последовательно по трем факторам. Соответственно выделяются и три основные ориентации в размещении: транспортная, рабочая и агломерационная.
Транспортная ориентация. Согласно А. Веберу, величина транспортных издержек зависит от: 1) веса перевозимых грузов и 2) расстояния перевозки. Под влиянием транспортных издержек промышленное предприятие будет притягиваться к тому пункту, в котором с учетом местоположения потребительского центра и источников сырья имеет место минимальная величина транспортных издержек. Этот пункт есть транспортный штандорт (транспортный пункт). Для нахождения этого пункта используется весовой (локационный) треугольник В. Лаунхардта. При этом важную роль играют два показателя: материальный индекс и штандортный вес.
Например, для производства 100 т продукта требуется 300 т одного материала и 200 т другого. Тогда материальный индекс будет равен (300 + 200)/100 = 5. Штандортный вес составит 300 + 200 + 100 = 600 (т), или 6 в пересчете на 1 т готового продукта, т.е. штандортный вес равен материальному индексу плюс единица. Существуют производства, у которых материальный индекс меньше единицы. Исходя из соотношения указанных показателей легко установить, что производства с высоким материальным индексом тяготеют к пунктам производства сырья и материалов, а производства с небольшим индексом — к центру потребления.
Рабочая ориентация. Далее, учитывая различия издержек на рабочую силу (рабочих издержек), определяется рабочий пункт, т.е. пункт с наиболее низкими рабочими издержками. Рабочий пункт будет притягивать производство к себе, в результате чего производство либо останется в транспортном пункте, либо переместится в рабочий пункт. Такое перемещение может произойти тогда, когда экономия на рабочих издержках в данном пункте перекрывает перерасход в транспортных затратах из-за перемещения производства.
Для определения промышленного штандорта с учетом совместного влияния факторов транспортных издержек и рабочей силы А. Вебер прибегает к построению так называемых изодапан (isodapane), смысл которых заключается в следующем. Приросты транспортных затрат, обусловленные перемещением производства из транспортного пункта в рабочий, увеличиваются с удалением от транспортного пункта, причем более или менее равномерно в любом направлении удаления. Поэтому в каждом направлении должны существовать такие пункты, для которых приросты транспортных затрат (или издержки отклонения) будут одинаковыми. Линии, соединяющие эти пункты одинаковых издержек отклонения, и называются изодапанами.

Рис. 3.3. Транспортный и рабочие пункты и изодапаны.
Графически (рис. 3.3) такие линии можно представить в виде замкнутых кривых, которые описываются вокруг пункта транспортного минимума (Р) и соединяют точки одинаковых отклонений в транспортных издержках при перемещении производства в рабочие пункты (L1 или L 2 ). При этом изодапана, соединяющая точки, в которых отклонения транспортных издержек равны экономии на рабочих издержках, называется критической изодапаной для данного рабочего пункта.
Если данный рабочий пункт лежит внутри своей критической изодапаны, то перемещение производства из транспортного пункта в рабочий пункт выгодно, если вне ее, то перемещение невыгодно. Например, если для рабочего пункта L1 критической изодапаной является A 3, то предприятие предпочтительнее разместить в транспортном пункте Р. Если жг критической изодапаной является А 4, то предприятие целесообразно разместить в рабочем пункте L 1.
Агломерационная ориентация. Анализ влияния агломерационных факторов на размещение промышленного предприятия А. Вебер строит на основе оценки изменений, вызываемых процессами агломерации, в оптимальной схеме транспортной и рабочей ориентации. Для этого он вводит дополнительное понятие — индекс сбережений. Смысл этого понятия поясним на следующем простом примере.
Пусть различным объемам агломерированной массы (например, годовым выпускам продукции) соответствуют различные удельные издержки:
- 100 т → 10 руб;
- 400 т → 6 руб;
- 1600 т → 4 руб;
- 6400 т → 3 руб.
Уменьшение удельных издержек при росте объема производства отражает эффект концентрации. Разница в издержках для этих агломерированных масс по сравнению с первым уровнем концентрации производства составит: для 2-го уровня 4 (10 — 6); для 3-го — 6 (10 — 4); для 4-го — 7 (10 — 3). Полученные величины (4; 6; 7) и представляют собой те сбережения, которые получаются для различных степеней агломерации и которые повышаются при укрупнении производства. Эти величины А. Вебер и называет индексами сбережений при агломерации.
Проводимый анализ влияния фактора агломерации на размещение производства предполагает отсутствие влияния всех других факторов, кроме транспортного. Исходя из транспортной ориентации отыскиваются отклонения производства от транспортных пунктов, обусловленные действием фактора агломерации. Такие отклонения целесообразны, если издержки отклонения перекрываются сбережениями в агломерационных пунктах.
Для определения места размещения агломерированного производства вокруг транспортных пунктов проводятся изодапаны, среди которых выделяется критическая изодапана, т.е. геометрическое место точек, в котором перерасход транспортных затрат равен экономии от агломерации производства. А. Вебер утверждает, что отклонение изолированных производств от их транспортных пунктов имеет смысл только тогда, когда все отклоняющиеся производства, не выходя за пределы своих критических изодапан, соединятся в каком-то одном месте. Таким местом является площадь общего сегмента, образованного пересекающимися критическими изодапанами, так как только внутри этого сегмента издержки отклонения для каждого производства не превышают той выгоды, которая получается от соединения, т.е. не превышает агломерационных сбережений. Иллюстрацией этого рассуждения является рис. 3.4.
Агломерируемые производства должны размещаться в заштрихованном сегменте. Выбор точки размещения внутри сегмента осуществляется с учетом транспортного фактора. В более общем случае несколько предприятий образуют не один, а несколько сегментов.
А.Вебер рассматривает различные ситуации при осуществлении агломерации, конкретизируя методику нахождения штандорта. Он предлагает формулы агломерационных эффектов.

Рис. 3.4. Транспортные пункты и площадь агломерации производств
Пусть М — производственная масса какого-либо крупного производства. Величина сбережений от агломерации в расчете на единицу продукта будет выражаться в виде функции сбережения — φ(М). Тогда общая величина сбережений на всю производственную массу будет равна:
Э 1 = М *. φ(M)-
Допустим, что с крупным производством сливается мелкое производство с производственной массой т. Тогда общая сумма сбережения для двух производств составит:
Э2 = (М + т) * φ(М + т).
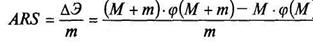
Определим приращение сбережения, получаемого в результате слияния двух производств:
ΔЭ = Э2 — Э1 = (М + т) * φ(М + т) — М * φ(М).
Слияние мелкого производства с крупным происходит, согласно А. Веберу, в том случае, если величина сбережения от слияния предприятий больше (или по крайней мере не меньше) перерасхода транспортных затрат из-за переноса производства т в пункт производства М, т.е.:
ΔЭ > ARSm,
где А — штандортный вес, R — радиус отклонения, S — ставка транспортного тарифа (т * км).
Отсюда можно определить величину наибольшего, экономически допустимого, радиуса отклонения:

Определяем первую производную функции φ:

Обозначим:

Функция f(M), называемая функцией агломерации, служит выражением притягательной силы крупного производства по отношению к рассеянным мелким производствам. Так как f(M) = ARS, то R=f(M)/AS, т.е. максимально допустимый радиус отклонения прямо пропорционален функции агломерации и обратно пропорционален штандортному весу и тарифной ставке.
Выведенная формула агломерации f(M) = ARS включает три фактора, от которых зависит агломерация. Требуется учесть еще одно условие — производственную плотность.
Обозначим через р производственную плотность, под которой здесь понимается объем продукции, приходящейся на единицу площади с радиусом R, при равномерном распределении производства на данной площади. Тогда вся производственная масса, притягиваемая к агломерационному центру, будет равна πR2p= M.
Отсюда:

Сравнивая полученную формулу с ранее выведенной, получаем окончательную формулу агломерации:

А. Веберу первому удалось выработать многофакторную теорию размещения промышленного предприятия, опирающуюся на методы количественного анализа (математическое моделирование). Так же как и его предшественник В. Лаунхардт, А. Вебер не вышел за рамки проблемы размещения отдельного предприятия. Однако его исследования стали мощным стимулом для создания более общих теорий размещения.






