Модели с распределенными параметрами представляют собой систему уравнений движения, баланса тепла и массы газовых примесей в дифференциальной форме в частных производных. Система уравнений дополняется краевыми условиями, в состав которых входят граничные условия и начальные условия. Решение системы позволяет определить трехмерное распределение параметров микроклимата в объеме помещения и изменяющимися во времени. Такие модели, как правило, используются при решении исследовательских задач. Поэтому они учитывают по возможности полную постановку задачи, являются сложными и не имеют широкого распространения в инженерной практике.
![]() |
Рассмотрим в несколько упрощенной постановке модель распределения в помещении скорости и температуры воздуха (см.рис.2.1). За основу модели принята система уравнений движения Навье-Стокса, описывающая движение потока однородной несжимаемой вязкой жидкости.
Рис.2.1. К определению модели с распределенными параметрами
Упрощение состоит в том, что воздух является сжимаемой жидкостью и в рассматриваемой задаче имеет газообразные или аэрозольные (пыль) примеси загрязняющих веществ. Однако, несущественное изменение давления в помещении позволяет считать воздух несжимаемым, а малые концентрации вредных веществ в общем объеме помещения позволяет считать воздушную среду однородной.
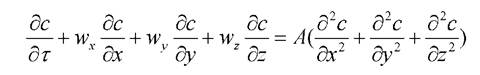
Система включает в себя уравнения проекции вектора скорости на оси ординат
(2.1)

Система уравнений дополняется уравнением сплошности потока
(2.2)
Уравнение распределения температуры в движущемся потоке и уравнение состояния
(2.3)
Уравнение распространения примеси в воздухе потока
(2.4)
В уравнениях (2.1) - (2.4) приняты следующие обозначения:
-скорость движения воздуха, м/с;
-плотность воздуха, кг/м3;
-давление, Па;
-проекция плотности массовых сил на оси, Па;
-кинематическая вязкость воздуха, м2/с;
-время, с;
-температура воздуха, град;
-коэффициент температуропроводности воздуха, м2/с;
-масса воздуха, кг;
-газовая постоянная, кг м/кг град;
-число Прандтля для воздуха
-температура воздуха, 0K;
-концентрация газовой примеси, мг/м3;
-коэффициент турбулентного обмена, м2/с.
В приведенной записи системы уравнений отсутствуют члены, учитывающие молекулярную диффузию газовых примесей и турбулентность движущегося потока воздуха. Турбулентный поток характеризуется неупорядоченностью, которая приводит к случайному изменению во времени и пространстве мгновенных значений скорости температуры, давления в потоке. Условно турбулентное движение рассматривают как движение совокупности отдельных объемов жидкости, совершающих как поступательное, так и вращательное движение.
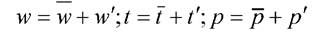
Для математического описания турбулентного движения используются разные модели, в том числе метод Рейнольдса, состоящий в разделении мгновенных значений параметров на две части - среднюю и пульсационную

Граничные условия системы уравнений отображают условия теплообмена на границах, которыми являются ограждения помещения с координатами 
. При этом имеется в виду, что на границах скорость потока

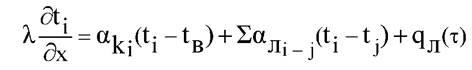
На поверхности ограждения, обращенной внутрь помещения, в любой момент времени удовлетворяется уравнение баланса тепла. В развернутом виде уравнение баланса имеет вид
. (2.5)
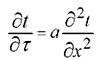
В толще каждого ограждения имеет место распределение температуры, описываемое уравнением Фурье (для примера по координате х)
. (2.6)
В уравнениях (2.5) и (2.6) принято:
- коэффициент теплопроводности материала поверхностного слоя ограждения, Вт/м град;
- температура поверхности, град;
- коэффициент конвективного теплообмена, Вт/м2 град;
- температура j -ой поверхности, град;
-коэффициент лучистого теплообмена на внутренних поверхностях ограждений в помещении, Вт/м2град;
- плотность лучистого теплового потока от внутренних источников, Вт/м2;
- коэффициент температуропроводности материала слоя ограждения,м2/с.
Помимо граничных условий задаются начальные условия в виде численных значений параметров в начальный (нулевой) момент времени.
Решение системы уравнений ведут численными методами, основанными на переходе от бесконечно малых приращений координат и времени к конечным малым приращениям.
Известен ряд решений подобных задач в различных отраслях знаний. В области обеспечения микроклимата помещений задача решалась с разной степенью детализации ее постановки. В полном виде численное решение было получено в Институте автоматизации и проектирования РАН А.А. Аксеновым и А.В. Гуд- зовским, которыми разработан универсальный программный комплекс Flow Vision, предназначенный для решения практических задач аэродинамики и тепломассопереноса.







