СОВМЕЩЕНИЕ ВИБРОАКТИВАЦИИ С ДОБАВКОЙ
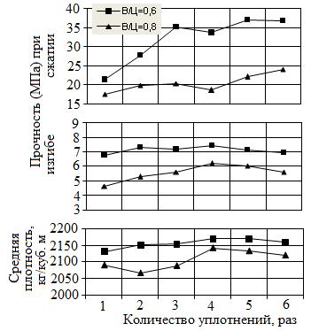
Исследование влияния добавок-электролитов на формирование структуры цементного камня (разд.4.3.2) показало, что явным ускоряющим действием обладает хлористый кальций. При введении этой добавки в количестве до 10 % от массы цемента стадийность твердения цементной системы при обычных температурных условиях сокращается с 90 до 50 мин. Интенсифицирующее действие добавки позволяет более оперативно осуществить режим циклической виброактивации твердеющего бетона, а также сократить продолжительность выдерживания смеси перед укладкой в форму. В связи с этим, практический интерес представляет уточнение эффективности совместного воздействия на процесс твердения бетона добавки хлористого кальция и отмеченных технологических приемов. Как видно из результатов испытаний (рис.6.10) циклическая виброактивация несколько повышает среднюю плотность и прочность образцов при изгибе (до 10…30 %). При этом значительно увеличивается прочность при сжатии. Для смеси с В/Ц=0,6 двухразовая циклическая вибрация (через 50 и 100 мин) обеспечивает повышение прочности на 65…70 %; дальнейшее вибрирование, практически, не изменяет достигнутый уровень прочности. Для смеси с В/Ц=0,8 прочность при сжатии стабильно повышается при увеличении количества уплотнений (максимальный прирост прочности достигается, по-видимому, при большем (чем было принято) количестве вибровоздействий).
|
|
|

Рис.6.10. Влияние циклического вибрирования на
свойства раствора с добавкой хлористого кальция
Циклическое виброуплотнение как обычных смесей, так и смесей с добавкой ускорителем твердения не изменяет общей картины – для каждого состава смеси существует оптимальное количество уплотнений, при котором достигается предельно возможный результат. В связи с этим, в каждом конкретном случае рациональный режим уплотнения, включающий время приложения и количество вибрационных воздействий назначается опытным путем.






