Расчет на изгиб за пределами упругости.

Экспериментально установлено, что при упругопластическом изгибе закон плоских сечений сохраняется. Поэтому деформации линейно зависят от координаты у. На рисунке а) показано поперечное сечение, упругое распределение деформаций и напряжений по высоте сечения б) и в), упругопластическое г) и предельное состояние д).
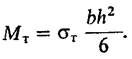
Зона пластических деформаций распространяется внутрь сечения, и когда во всем сечении нормальные напряжения достигают предела текучести, образуется предельное состояние, и балка не может передавать большей нагрузки. Предельный момент находят путем интегрирования:

Максимальное значение изгибающего момента для упругого распределения напряжений наступит тогда, когда только в крайнем волокне будет

Отношение Мпред/МТ = 3/2.






