Такой метод испытаний характеризуется тем, что частоту вибрации плавно изменяют в заданном диапазоне от нижней до верхней частоты и обратно при постоянстве заданных параметров вибрации в течение определенного времени (рис. 2.22). В программе испытаний на вибро прочность методом качающейся частоты необходимо указывать диапазон частот, амплитуду ускорения а, время прохождения диапазона частот и продолжительность испытаний.
Изменение частоты вибрации широко применяют для испытаний объектов на вибропрочность и виброустойчивость. Они пригодны для определения резонансных частот изделий и частотных характеристик. Для этих испытаний можно использовать вибростенды с вибровозбудителями, позволяющими плавно изменять частоту колебаний стола вибростенда в некоторых пределах.
Испытания с переменной частотой гармонической вибрации, как правило, ведут при постоянной амплитуде вибросмещения до частот в несколько десятков герц, а затем поддерживают постоянную виброскорость или постоянное виброускорение.

При составлении программы испытаний с переменной частотой гармонической вибрации устанавливают зависимость плавно изменяющейся частоты от времени по заданным соотношениям продолжительности воздействия для различных резонирующих узлов и деталей испытуемого объекта. При этом можно исходить из требования постоянства времени или постоянства числа циклов нагружения каждого резонирующего элемента.
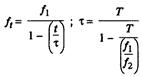
В первом случае частота колебаний должна изменяться по закону

во втором случае — по закону

где f1 — начальная частота; f2 — конечная частота; Т — длительность изменения частоты от f1 до f2; t — текущее время; τ — постоянная времени нарастания частоты, обратно пропорциональная скорости ее нарастания

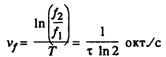
Полагая постоянным время воздействия на каждый резонирующий-элемент, получаем виброскорость

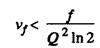
Допустимую скорость изменения частоты оцениваем неравенством

где Q — добротность резонирующего элемента, обычно 6=20.
Исходя из прочностных и усталостных характеристик материалов при испытаниях на вибро прочность и из допустимых норм вибрационного воздействия при испытаниях на виброустойчивость, выбирают необходимое число л полных циклов изменения частоты и общее время виброиспытаний

Преимущества этого вида испытаний —- в относительно низкой стоимости оборудования. Они дают информацию для корректировки испытуемого объекта, так как может быть легко зафиксирована частота, при которой происходит его разрушение или отказ.
Недостатком испытаний с переменной частотой гармонической вибрации является то, что возбуждение различных резонансов в испытуемом объекте происходит последовательно, а не одновременно.
Испытания на виброустойчивость конструкции и ее элементов рекомендуется проводить методом фиксированных частот, а испытания на вибропрочность — методом фиксированных частот или методом качающейся частоты.
Недостаток обоих методов заключается в том, что в каждый данный момент времени на изделие воздействуют одночастотные синусоидальные колебания, а не спектр частот, как при реальных условиях.