В последние десятилетия на стыке двух наук — аэродинамики и акустики — образовалось новое научное направление — аэроакустика. Аэроакустика изучает проблемы аэродинамической генерации звука, его распространения и снижения шума.
Акустические испытания, т.е. испытания на воздействие шума (звукового давления), выделяются в специальный вид испытаний.
Акустические испытания могут преследовать две различные цели:
1. Изучение восприимчивости исследуемых систем к воздействию звукового давления, т.е. способности систем эффективно реагировать на воздействие основных нагрузок (например, исследование характеристики демпферов, гасящих пульсации в бортовых системах).
2. Определение фактической устойчивости или усталостной прочности и долговечности элементов конструкции под воздействием интенсивных акустических нагрузок.
Воспроизведение действительных условий нагружения при акустических испытаниях представляет собой сложную задачу, так как акустические нагрузки имеют случайный характер и изменяются в весьма широком диапазоне частот. Создание универсального стенда, воспроизводящего весь комплекс акустических нагрузок, оказалось практически неосуществимым. Поэтому при наземных испытаниях имитируются наиболее важные режимы нагружения. При этом предполагается, что, несмотря на физическое различие между искусственным шумом (на стенде) и шумом РД, пульсациями давления в турбулентном пограничном слое в зонах отрывных аэродинамических возмущений и колеблющимися ударными волнами, они вызывают сходную вибрационную реакцию конструкции.
При проектировании установок акустического нагружения и разработке методик испытаний решаются следующие основные задачи:
1. Разрабатываются источники интенсивного шума.
2. Формируется требуемое акустическое поле вокруг объекта испытаний.
3. Разрабатываются измерительные системы.
Общие требования к акустическим стендам, предназначенным для испытаний конструкций ЛА и его элементов, сводятся к следующему:
— необходимо воспроизводить уровни акустических нагружений, близкие к эксплуатационным;
— параметрический ряд стендов должен обеспечивать проведение прочностных, контрольных и сертификационных испытаний как элементов, узлов и агрегатов Л А, так и его систем и изделия в целом;
— стенды должны позволять воспроизводить случайные широкополосные и узкополосные процессы акустического нагружения с заданной формой спектра в полосе частот 20 — 2000 Гц, а также создавать заданное распределение уровней звука на облучаемой поверхности;
— как управление процессом нагружения объекта испытаний, так ц сбор и обработка получаемой информации (звукового давления, вибраций, напряжения) должны быть автоматизированы. В условиях действах звукового давления в диапазоне от 150 до 170 дБ и выше в конструкция ЛА возникают значительные напряжения, которые могут вызвать усталостное разрушение после даже кратковременного нагружения.
Наиболее распространенный вид усталостных повреждений обшивка от акустических воздействий — разрушение отдельных панелей, оболочек и подкрепляющих элементов, особенно в местах значительной концентрации напряжений вблизи заклепочных швов и отверстий.
В натурных условиях элементы конструкции ЛА подвергаются интенсивному акустическому нагружению на трех основных этапах: 1) старт; 2) выход на трансзвуковую скорость при подъеме; 3) спуск и торможение ЛА в плотных слоях атмосферы на этапе старта.
Мощное акустическое поле возникает от высокотемпературных струй газа, истекающих из реактивных двигателей, которые взаимодействуют с окружающей средой и с частями наземного комплекса.
Шум от РД возникает в результате колебаний давления у пограничных слоев в результате взаимодействия высокоскоростной струи газа и о кружащего воздуха.
Для определения звуковой мощности реактивной струи в зависимости от скорости истечения струи можно использовать следующие зависимости:
Для M < 0,5

Здесь р — плотность газового потока струи; V— скорость истекающей струи относительно окружающего воздуха; р0 — плотность окружающей среды; a0 — скорость звука в окружающей среде; D — диаметр сопла.
Из приведенных зависимостей видно, что интенсивность шума истекающей струи максимальна при работе двигателя на земле, когда скорость течения газов относительно окружающего воздуха достигает наибольшего значения.
С возрастанием скорости движения ЛА интенсивность акустического поля давления от реактивных двигателей на поверхности его корпуса снижается. Снижается и общий уровень вибраций элементов конструкции. Затухают низкочастотные упругие колебания ЛА, вызванные резким выходом двигателей на режим.
С другой стороны, по мере роста скоростного напора повышается интенсивность вибраций, обусловленных пульсацией внешнего аэродинамического давления.
На поверхности ЛА под турбулентным пограничным слоем наблюдается случайное по пространству и времени поле интенсивных пульсаций давления звукового диапазона частот. Уже сама турбулентность пограничного слоя в сжимаемом потоке является источником излучения звуковой энергии. Однако интенсивность пульсаций давления на обтекаемой поверхности за счет акустического излучения турбулентности даже при больших числах Маха существенно меньше интенсивности псевдозвуковых пульсаций давления. Эти пульсации давления и являются основными источниками шума от пограничного слоя. Зависимости статистических характеристик пульсаций давления в турбулентном пограничном слое от аэродинамических параметров получают на основании результатов экспериментальных исследований. Указанные пристеночные пульсации давления относятся к случаю установившегося развитого турбулентного пограничного слоя на гладкой поверхности при нулевом продольном градиенте давления.
Небольшой отрицательный градиент давления приводит к сильному уменьшению высокочастотных составляющих пульсаций давления, практически не оказывая влияния на низкочастотные пульсации давления.
Положительный градиент давления (не приводящий к отрыву пограничного слоя) вызывает рост низкочастотных составляющих, при этом не изменяются высокочастотные составляющие спектра, из-за чего увеличивается среднеквадратичное значение пульсаций давления в турбулентном пограничном слое.
Наличие выступающих элементов при большом положительном градиенте давления приводит к срыву потока. В зонах отрыва наблюдаются интенсивные пульсации давления, превышающие пульсации Давления в невозмущенном пограничном слое в 4—5 раз.
Возмущения турбулентного пограничного слоя возникают из-за появления скачков уплотнения и их интерференции. В области присоединения скачков наблюдается увеличение пристеночных пульсаций давления по мере роста интенсивности скачка уплотнения. Шероховатость поверхности приводит к значительному увеличению пульсаций давления в турбулентном пограничном слое по сравнению со случаем гладкой обтекаемой поверхности.
В этих случаях среднеквадратичное значение пульсаций давления на поверхности ЛА за счет шероховатости может возрасти почти на порядок для гладкой поверхности.
Среднеквадратичное значение пульсаций давления зависит от скоростного напора:

где na — коэффициент пропорциональности (характеризует эффективность превращения кинетической энергии потока в энергии пуль-сационного давления); — скоростной напор.
Для установления условий акустического подобия аэродинамических потоков необходимо рассмотреть основное волновое уравнение, описывающее источники шума аэродинамического происхождения в распространения звука от этих источников:

где Q = pv/D — производительность источника массы за единицу времени на единицу объема; D — линейный размер источника; F = pg — массовая сила, действующая на единицу объема; Tij — тензор Лайтхилла, представляющий собой разность напряжений в потоке и в покоящейся среде

где а0 — скорость звука в невозмущенной среде; rj — коэффициент сдвиговой вязкости (динамической вязкости); р — давление; р — плотность среды; V — скорость потока.
Структура этого дифференциального уравнения не зависит от изменения масштабов величин, входящих в него. Изменение масштабов может лишь привести к появлению численных коэффициентов при всех членах. Полагая, что уравнение (2.73) записано для натурного объекта, перепишем его для модели при условии, что все линейные размеры при переходе от натурного объекта к модели изменяются а р раз, время — в t раз и т.д.:


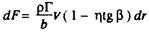
Представим в уравнении (2.73) выражение для силы F, действуй, щей на тело (например, профиль винта), помещенное в поток:

где Г — циркуляция потока; V — скорость натекания потока на профиль; β — угол натекания потока; Ь — хорда профиля; η — качество профиля,
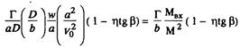
В этом случае безразмерный коэффициент для четвертого члена уравнения (2.74) примет вид

где Г — безразмерная циркуляция; b — безразмерная хорда профиля; Mbx — число M на входе профиля.
Наряду с волновым уравнением (2.73) можно рассмотреть уравнение состояния и энергии. В этом случае к полученным критериям добавятся критерий Прандтля Pr. Следовательно, для сохранения аэроакустического подобия турбулентных потоков должны сохраняться: критерии подобия потоков (Sh; M; Re; Fr; Pr); геометрическое подобие тел, помещенных в поток подобие распределения аэродинамической нагрузки на поверхности тела (Г = const). При соблюдении этих условий моделирования уровни звукового давления в геометрически подобных точках модели и натурного объекта будут равны.
На практике проводят так называемое частичное моделирование, поскольку полное моделирование сопряжено со значительными техническими сложностями.
Для сокращения числа критериев подобия есть следующие основания:
— при больших числах Re течение становится автомодельным; кроме того, рейнольдсовы напряжения в турбулентных потоках значительно выше вязких напряжений, поэтому действием вязкости можно пренебречь;
— так как число Pr для газов близко к единице, им тоже можно пренебречь;
— для свободных турбулентных потоков можно также пренебречь действием сил тяжести и давления, т.е. критерии Fr и Eu можно не учитывать.
При моделировании необходимо осуществлять подобие начальных и граничных условий.
Граничные условия при распространении звука в канале с потоком:

где D = 2г — высота канала; G= pa/z — проводимость стенки; z — импеданс.
Из выражения (2.76) следует, что kDG = const;

Таким образом, безразмерные импедансы стенок тела модели и натурного объекта должны быть равны при одинаковых безразмерных частотах звуковых колебаний. Соблюдение равенства начальных параметров потоков в модели и в натурных условиях требует практически равенства начальных параметров турбулентных потоков.
В результате проведенного анализа можно констатировать, что при аэроакустическом моделировании должны быть выдержаны следующие критерии подобия:
1) геометрический;
2) M; Sh; a/a0; D/l = const;
3) аэродинамическая нагрузка на тело;
4) z/D/l- const на границе поверхности;
5) начальная турбулентность потоков.
Звуковое поле создается в испытательных боксах, реверберацион-ных камерах и каналах бегущей волны.
Принципиальная схема бокса для проведения акустических испытаний показана на рис. 2.65.
Испытуемые изделия 4 располагают вокруг струи 3, истекающей из сопла реактивного двигателя 1 на монтажной раме 5. Для сброса газов за рабочим участком расположен диффузор 2. Параметры звукового поля и реакции панелей обшивки контролируют при помощи микрофонов и тензорезисторных датчиков.
Как видно из схемы, интенсивным источником шума является выхлопная струя реактивного двигателя. Так, вблизи среза выхлопного сопла уровни шума составляют приблизительно 160 — 175 дБ. Такое интенсивное акустическое излучение реактивных струй связано с неоднородностью структуры турбулентного потока и может рассматривался как результат взаимодействия нестационарных объемов жидкости или турбулентных вихрей.

Акустическую мощность турбулентной струи определяют по формуле


Уровень суммарного шума в точке звукового поля, расположенной на расстоянии г от среза сопла под углом в к оси струи, определяют по выражению

Фактор направленности 101gФ, который представляет собой разность между измеренным уровнем шума и уровнем шума в той же точке от фиктивного источника такой же мощности, как и исследуемый источник, но излучающего звук равномерно во всех направлениях, определяют в соответствии с температурой Tn числом M струи; Q — угол между осью струи и направлением измерения шума; Д — поправка, учитывающая влияние скорости полета ЛА:
— скорость спутного потока.
Значение коэффициента п зависит от угла наблюдения Q (табл. 2.4).

В реверберационных камерах происходит отражение звука от стенок камеры, и звуковое поле вокруг объекта испытаний представляет собой интерференционную картину звуковых волн, т.е. возникает эффект резонансного усиления колебаний среды.
Реверберационная камера представляет собой помещение, стены которого оштукатурены с последующим железнением их и покраской тонким слоем. Толщина стен может достигать 80 см при уровне шума 170 дБ. В другом варианте стены реверберационной камеры могут быть облицованы плиткой. Такое помещение почти полностью (99%) отражает звуковые волны. В результате этого в камере создается диффузное звуковое поле, т.е. поле, в котором все направления равнозначны и уровни звукового давления одинаковы в любой точке камеры.
Размеры камеры выбирают в соответствии с размерами объекта испытаний. В среднем объем реверберационной камеры должен превышать объем испытуемого образца не менее чем в 8 раз.
Для того чтобы акустическое поле было более равномерным, камеры относительно небольших объемов (менее 1000м3) строят с непараллельными стенками, что способствует улучшению условий реверберации звука. Угол скоса противоположных поверхностей относительно Друг друга 5 + 10°.
Камеры большого объема (более 1000м) обычно делают прямоугольными. Для повышения диффузности поля в таких камерах иногда применяют рассеиватели — жесткие клинья, устанавливаемые на внутренних поверхностях камер. Ориентировочно объем реверберационной камеры можно определить из условия обеспечения нижнего частотного диапазона измерений по формуле

где V— объем камеры;fн — нижняя граничная частота.
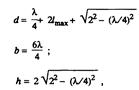
Более точный расчет размеров реверберационной камеры (длины d, ширины Ь и высоты h) производят по формулам:

где X — длина волны нижней граничной частоты; lmах — максимальный размер испытуемого образца.
Правильность выбранных размеров камеры оценивается исходя из удовлетворения условия

где г — расстояние от источника шума до измерителя шума; А — общая площадь звукопоглощения для нижней граничной частоты; А = OtS; S — площадь ограждающих поверхностей камеры; а — коэффициент звукопоглощения для нижней граничной частоты измерений.
В реверберационных камерах, как правило, испытывают полноразмерные конструкции ЛА. Генераторы звукового давления устанавливаются в разных местах внутри камеры или могут быть установлены вне камеры. Уровень шума, достигаемый в таких камерах, составляет 177 дБ. Управляемый спектр шума — от 40 до 1250 Гц, общий спектр шума — от 40 до 10 ООО Гц. Такие камеры позволяют намного снизить потребную акустическую мощность, а также практически избежать воздействия сильного шума на обслуживающий персонал. Уровень шума около камеры имеет значение порядка 50 дБ.
Известные реверберационные камеры имеют объемы 50 — 5000м. Наблюдается тенденция к еще большему увеличению объема камер.
В состав реверберационных камер входят (рис. 2.66):
— испытательный бокс;
— препараторская;
— система генераторов звука;
— согласующие устройства (рупоры);
— система питания генераторов звука сжатым воздухом;
— система формирования и управления спектрами акустической нагрузки;
— информационно-измерительная система;
— шумоглушитель для вывода рабочего тела звуковых генераторов.
При конструировании реверберационных камер суммарная акустическая мощность источников шума в соответствующих частотных полосах должна быть распределена на минимальное количество согласующих устройств (рупоров). При этом должна достигаться высокая эффективность излучения звука рупором, условием выбора геометрических размеров которого является

где d — размер выходного сечения рупора; а — скорость звука; fкр — критическая частота рупора, ниже которой эффективность излучения резко падает.

Наибольшая эффективность излучения звука у экспоненциального рупора.
При этой форме поперечное сечение рупора увеличивается на одинаковую процентную величину через каждую единицу его осевой длины. Это приращение определяет нижнюю граничную частоту рупора.
На рис. 2.67 представлена зависимость процентного приращения поперечного сечения на I см осевой длины от нижней граничной частоты. Так, например, чтобы получить нижнюю граничную частоту 60 Гц, площадь поперечного сечения рупора надо увеличивать на 2% через каждый сантиметр его осевой длины. Эту зависимость можно представить и в виде формулы

где К — приращение площади поперечного сечения, %.
Для приращений К, меньших 20%, и, следовательно, для граничных частот, меньших 500 Гц, формула может быть представлена в следующем виде:

В рупоре круглого или квадратного сечения диаметр круга ила сторона квадрата должны увеличиваться на каждый сантиметр длины
рупора на
%. В рупоре прямоугольного сечения с постоянной высотой ширина сечения должна увеличиваться на К % на каждый сантиметр длины рупора.
Для хорошего воспроизведения низких частот нужно также обеспечивать достаточные размеры выходного отверстия рупора — устья. Его диаметр должен быть не менее lтр/π. Следовательно, для нижней граничной частоты 100 Гц, для которой длина волны составляет 3,4 м, диаметр устья должен быть около 110 см. Для более низких граничных частот размеры устья рупора будут еще больше. В области низких частот в полосе 25 < / < 100 Гц более эффективным является катеноидальный рупор.

Расчет рупора следует начинать, задавшись размерами устья по* выбранной нижней граничной частоте, уменьшая сечение на К% на каждый сантиметр осевой длины до тех пор, пока не получим сечение, равное площади диффузора или диафрагмы звукового генератора. При этом в месте сопряжения сечения звукового генератора и рупора должны иметь одну форму. Если же форма сечения рупора отличается от формы выходного отверстия звукового генератора, то сопряжение осуществляется с помощью промежуточной камеры. Интенсивность акустического поля в камере зависит от места расположения источников звука. При расположении источника на стене камеры средняя интенсивность звука в два раза, а при установке в углу — в четыре раза выше, чем при установке его в центре.
Для повышения равномерности звукового поля в камере прямоугольной формы рекомендуется брать следующие соотношения линейных размеров:

Так как в подобных камерах звуковые нагрузки обычно имеют широкополосные спектры частот с неравномерной спектральной плотностью, на стендах необходимо создавать согласованное (программное) управление генераторами, формирующими спектр звуковых давлений. Это осуществляется при помощи многоканальной управляющей системы (рис. 2.68).
Исходный сигнал звукового давления задается генератором белого шума 8, имеющего полосу частот 20 Гц — 20 кГц. Из этой широкой полосы при помощи фильтров устройства 9 выделяют ряд более узких полос, чаще всего 1/3-октавных. В каждой из полос уровень сигнала может регулироваться в пределах 40 -— 60 дБ. Просуммированный на выходе фильтров формируемый сигнал поступает в параллельно

включенные усилители мощности генераторов звука — сирен 3, 4, 5 создающих акустическое поле в боксе камеры б.
В каждом генераторе шума предусмотрен независимый канал управления сжатия воздухом, включающий обычные для воздухораспределительных систем устройства: электрозадвижку, дроссель, регулятор давления, воздушный фильтр, ресивер.
В качестве датчиков обратной связи в системе регулирования ис-~ пользуют микрофоны 13, устанавливаемые в контрольных точках бокса. Для ввода в систему регулирования сигналы, поступающие от микрофонов, усиливаются и усредняются и, пройдя коммутатор /б, поступают в полосовой анализатор спектра 15, аналогичный по составу анализатору устройства 9. Пройдя среднеквадратичный детектор 17, уровни сигнала в полосах с помощью мини-ЭВМ сравниваются с заданными уровнями, в результате чего вырабатывается сигнал корректировки, поступающий на усилители задающих фильтров устройства 9, благодаря чему автоматически поддерживается уровень звукового давления в камере.
Достаточно хорошее приближение к заданным характеристикам акустического нагружения можно получить при использовании десяти микрофонов. Одно из основных достоинств такой автоматической системы регулирования — быстрота настройки на требуемый режим испытания объекта.
Обычно при таких испытаниях требуется измерять звуковое давление, деформацию и вибрацию. Для этого в комплексе технологического оборудования предусматривается система сбора, измерения и обработки получаемых данных. Эта система должна контролировать среднеквадратичные значения измеряемых величин в ходе эксперимента, регистрировать процессы на магнитной ленте и затем обрабатывать их на анализаторах.
Каналы бегущей волны (рис. 2.69) используются для испытаний элементов обшивки ЛА на акустическую выносливость в ближнем акустическом поле (граница зоны смешивания турбулентной струн) с направлением фронта распространения звуковых волн по касательной к поверхности обшивки.
Установка представляет собой туннельный канал (волновод) 4 с сечением прямоугольной формы. Размеры поперечного сечения канала выбирают в зависимости от габаритных размеров испытуемых панелей, отношение ширины канала к высоте должно быть не менее 1:5. Испытуемую панель б устанавливают в рабочую часть блока 5 установки заподлицо с внутренней поверхностью стенки канала.
Корпус волновода 4 установки выполняют железобетонным или полностью металлическим, сварной конструкции. Коэффициент звукопоглощения стен волновода должен быть не выше 1,6%. Звуковые колебания в канале возбуждаются при помощи генераторов-сирен 2, устанавливаемых в головной части установки. Одно из главных требований воспроизведения бегущих волн — отсутствие отражения звука оТ стен канала и его торца. Для выполнения этого требования в концевой части канала устанавливают звукопоглощающие клинья 7, которые в некоторых случаях увеличивают длину установки до 10—15 м. Системы электрического и пневматического питания генераторов, управления и измерительная примерно такие же, как и в реверберационных камерах. Уровень акустической мощности до 170 дБ.

Комбинированные установки сочетают преимущества реверберационной камеры и установок с бегущей звуковой волной. Они содержат систему акустических генераторов с рупорами, переходящими в секцию бегущей волны, обычно прямоугольного поперечного сечения, Для испытания панелей при достаточно высоких уровнях шума и следующую за ней реверберационную камеру для испытаний на меньших ровнях звукового давления объемных отсеков ЛА.
При необходимости на стенках реверберационной камеры иногда ставят шумопоглощающие клинья, и тогда установка работает в режиме бегущей волны.
К недостаткам комбинированной установки можно отнести неблагоприятное влияние отраженных звуковых волн на характеристики по, ля в секции бегущих волн при относительно малых размерах оконечной камеры.






