Таблица 9
| Масса, кг | 3,0 | 3,1 | 3,2 | 3,3 | 3,4 | 3,5 | 3,7 | 3,8 | 4,0 | 4,4 |
| Частота |
Отсюда можно вычислить
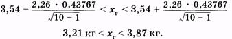
D b = 0,19156 кг2 и s в = = 0,43767 кг. Задав доверительную вероятность р = 0,95, находим из табл. 8 для объема выборки п = 10 параметр t = 2,26. Подставляя эти данные в (3.26), получаем для доверительного интервала [см. (3.27)]:
или
(3.28)
Полезно сопоставить соотношения, полученные для большой (3.25) и малой (3.28) выборок.
Интервальная оценка истинного значения измеряемой величины. Интервальная оценка генеральной средней может быть использована для оценки истинного значения измеряемой величины.
Пусть несколько раз измеряют одну и ту же физическую величину. При этом по разным случайным причинам, вообще говоря, получают разные значения: x1, x2, x3,.... Будем считать, что нет преобладающего влияния какого-либо фактора на эти измерения.
Истинное значение измеряемой величины (х ист) совершенно точно измерить невозможно хотя бы по причине несовершенства измерительных приборов. Однако можно дать интервальную оценку для этого значения.
|
|
|
Если значения х1, х2, х3,... рассматривать как варианты выборки, а истинное значение измеряемой величины х ист как аналог генеральной средней, то можно по описанным выше правилам найти доверительный интервал, в который с доверительной вероятностью р попадает истинное значение измеряемой величины. Применительно к малому числу измерений (п < 30) из (3.27) получим:
(3.29)
где
— среднее арифметическое значение из полученных измерений, а s — оответствующее им среднее квадратическое отклонение, t —коэффициент Стьюдента.
Более подробно и разносторонне оценка результатов измерений рассматривается в практикуме (см. [1]).
В медико-биологических исследованиях актуальной является задача сравнения выборок, полученных в результате эксперимента, заключающегося в том или ином воздействии на объект. Фактически конечный результат исследования зависит от достоверности различий значений случайной величины в контроле (до воздействия или без него) и опыте (после воздействия). Наиболее просто решается задача определения достоверности различий статистических распределений, если предварительно для выборок рассчитаны доверительные интервалы. Положим, есть два статистических распределения некоторых случайных величин X и Y. Пусть генеральные средние этих распределений с доверительной вероятностью р = 0,95 находятся в доверительных интервалах
и пусть при этом
Если соблюдается неравенство
, то не вызывает сомнения, что случайная величина Y существенно больше случайной величины X (см. рис. 3.3, а). Вероятность этого превышает 0,95.
|
|
|
На рис. 3.3, б представлен вариант, когда выборки частично пересекаются, т. е. когда выполняется неравенство
В этом случае целесообразно оценивать достоверность различий выборочных средних
и
с помощью дополнительных расчетов. Наиболее просто это сделать, предполагая, что случайные величины X и Y распределены по нормальному закону. Условием существенности различия двух опытных распределений, являющихся выборками из различных генеральных совокупностей, является выполнение следующего неравенства для опытного и теоретического значений критерия Стьюдента:
Для нахождения значения t oписпользуют следующую формулу:

(3.30)
|
|
Здесь sх и sу — выборочные средние квадратические отклонения, пх и пу — число вариант в выборках (объемы выборок),
и у — выборочные средние значения.
а) б)
Рис. 3.3
Теоретическое значение t тeop находят по таблице 10, входными величинами которой являются доверительная вероятность р и параметр f, связанный с числом вариант в выборках. Этот параметр определяют следующим образом. Если sх» sу, то f = пх + п — 2. Если же sх и sу различаются на порядок и более, то величина f определяется по формуле:
(3.31)
Таблица 10. Значения критерия Стьюдента t тeop при различной доверительной вероятности и значениях параметра f
| f | Доверительная вероятность, р | f | Доверительная вероятность, р | ||||
| 0,95 | 0,99 | 0,999 | 0,95 | 0,99 | 0,999 | ||
| 12,71 | 63,60 | 2,08 | 2,83 | 3,82 | |||
| 4,30 | 9,93 | 31,60 | 2,07 | 2,82 | 3,79 | ||
| 3,18 | 5,84 | 12,94 | 2,07 | 2,81 | 3,77 | ||
| 2,78 | 4,60 | 8,61 | 2,06 | 2,80 | 3,75 | ||
| 2,57 | 4,03 | 6,86 | 2,06 | 2,79 | 3,73 | ||
| 2,45 | 3,71 | 5,96 | 2,06 | 2,78 | 3,71 | ||
| 2,37 | 3,50 | 5,41 | 2,05 | 2,77 | 3,69 | ||
| 2,31 | 3,36 | 5,04 | 2,05 | 2,76 | 3,67 | ||
| 2,26 | 3,25 | 4,78 | 2,04 | 2,76 | 3,66 | ||
| 2,23 | 3,17 | 4,59 | 2,04 | 2,75 | 3,65 | ||
| 2,20 | 3,11 | 4,44 | 2,02 | 2,70 | 3,55 | ||
| 2,18 | 3,06 | 4,32 | 2,01 | 2,68 | 3,50 | ||
| 2,16 | 3,01 | 4,22 | 2,00 | 2,66 | 3,46 | ||
| 2,15 | 2,98 | 4,14 | 1,99 | 2,64 | 3,42 | ||
| 2,13 | 2,95 | 4,07 | 1,98 | 2,63 | 3,39 | ||
| 2,12 | 2,92 | 4,02 | 1,98 | 2,62 | 3,37 | ||
| 2,11 | 2,90 | 3,97 | 1,97 | 2,60 | 3,34 | ||
| 2,10 | 2,88 | 3,92 | 1,96 | 2,59 | 3,31 | ||
| 2,09 | 2,86 | 3,88 | 1,96 | 2,58 | 3,29 | ||
| 2,09 | 2,85 | 3,85 |
Используя этот способ оценки достоверности различия выборочных средних значений двух выборок, следует придерживаться такой последовательности действий. Во-первых, по экспериментальным данным нужно найти значения выборочных средних и средних квадратических отклонений для каждой выборки. Затем, сравнив величины sх и sу, найти величину f. После этого следует задать определенное значение доверительной вероятности и по таблице 10 найти t тeoр. Затем по формуле (3.30) рассчитать t oп.
Если при сравнении теоретического и опытного критериев Стью-дента окажется, что t oп > t тeoр, то различие между выборочными средними значениями случайных величин X и У можно считать существенным с заданной доверительной вероятностью. В противоположном случае различия несущественны.
Представленный выше способ оценки достоверности различий выборок по выборочным средним является довольно простым. Существует большое число тестов и критериев для сравнения выборок и составления заключения о достоверности их различий. Как правило, при этом рассматривают вероятность двух взаимоисключающих гипотез. Одна из них, условно называемая «нулевой» гипотезой, заключается в том, что наблюдаемые различия между выборками случайны (т. е. фактически различий нет). Альтернативная гипотеза означает, что наблюдаемые различия статистически достоверны. При этом для оценки обоснованности вывода о достоверности различий используют три основных доверительных уровня, при которых принимается или отвергается нулевая гипотеза. Первый уровень соответствует уровню значимости b0 < 0,05; для второго уровня b0 < 0,01. Наконец, третий доверительный уровень имеет b0 < 0,001. При соблюдении соответствующего условия нулевая гипотеза считается отвергнутой. Чем выше доверительный уровень, тем более обоснованным он считается. Фактически значимость вывода соответствует вероятности р = 1 - b0. В медицинских и биологических исследованиях считают достаточным уже первый уровень, хотя наиболее ответственные выводы предпочтительнее делать с большей точностью. Одной из методик, позволяющих судить о достоверности различий статистических распределений, является ранговый тест Уилкоксона. Под рангом (Ri)понимают номер, под которым стоят исходные данные в ранжированном ряду. Если в двух сравниваемых выборках данному номеру соответствуют одинаковые варианты, то рангом этих вариант является среднее арифметическое двух рангов — данного и следующего за ним (см. пример). Покажем, как используется этот тест на примере сравнения двух равных по объему выборок.
|
|
|
*Измеряли массу 13 недоношенных новорожденных (в граммах) в двух районах А и Б большого промышленного центра, один из которых (Б) отличался крайне неблагоприятной экологической обстановкой. Получены два статистических распределения (А) и (Б):
А: 970 990 1080 1090 1110 1120 ИЗО 1170 1180 1180 1210 1230 1270
Б: 780 870 900 900 990 1000 1000 1020 1030 1050 1070 1070 1100
Следует решить вопрос о том, достоверны ли различия между этими статистическими распределениями.
Составим общий ранжированный ряд с указанием номеров соответствующих вариант (RА.Б) — рангов (строки А и Б соответствуют выборкам):
А: 970990 1080 1090 1110..
RА: 5 6,5 15 16 18
Б: 780 870 900 90,0 990 1000 1000 1020 1030 1050 1070 1070 1100
RБ : 1 2 3 4 6,5 8 9 10 11 12 13 14 17
Как видно, варианта 990 встречается в первой и второй выборках, поэтому для нее рангом является среднее арифметическое значение 6 и 7.
Далее в ряду остаются лишь варианты первой выборки, поэтому ряд не закончен. Нулевая гипотеза состоит в том, что различий между выборками нет (они случайны и потому несущественны). Ранговый тест учитывает общее размещение вариант и размеры выборок, но не требует знания типа распределения. Основной вывод о верности нулевой гипотезы делается на основании анализа минимальной суммы рангов (из двух сумм для сравниваемых выборок), т. е. критерием является величина
(учитывая, что
) - При этом пользуются специальными таблицами. В частности, если число вариант в выборках одинаково (п1 = п2), то используется таблица 11.
|
|
|
Таблица 11, Критические значения величины Г (теста Уилкоксона) при п1 = n2 = n для разных значений уровня значимости
| п | 0,05 | 0,01 | п | 0,05 | 0,01 | п | 0,05 | 0,01 |
Примечание. Нулевая гипотеза отбрасывается при Т < Т0,05 или Т < Т0,01 .
В этой таблице указаны две входные величины: число вариант в выборках (п) и значение третьего и второго уровней значимости (b0 = 0,05 и 0,01). В нашем случае
, что меньше табличного значения для п = 13 и b0 < 0,01. Следовательно, на втором уровне значимости (р > 0,99) можно отвергнуть нулевую гипотезу. Таким образом, различия выборок достоверны с вероятностью, превышающей 0,99.






