Основные понятия математической статистики
Методы математической статистики позволяют систематизировать и оценивать экспериментальные данные, которые рассматриваются как случайные величины.
В главе 2 были рассмотрены некоторые понятия и закономерности, которым подчинены массовые случайные явления. Одной из практических задач, связанных с этим, является создание методов отбора данных (статистические данные) из большой совокупности и их обработки. Такие вопросы рассматриваются в математической статистике.
Математическая статистика тесно примыкает к теории вероятностей и базируется на ее понятиях. Однако главным в математической статистике является не распределение случайных величин, а анализ статистических данных и выяснение, какому распределению они соответствуют.
Предположим, что необходимо изучить множество объектов по какому-либо признаку. Это возможно сделать, либо проведя сплошное наблюдение (исследование, измерение), либо не сплошное, выборочное.
Выборочное, т. е. неполное, обследование может оказаться предпочтительнее по следующим причинам. Во-первых, естественно, что обследование части менее трудоемко, чем обследование целого; следовательно, одна из причин — экономическая. Во-вторых, может оказаться и так, что сплошное обследование просто нереально. Для того чтобы его провести, возможно, нужно уничтожить всю исследуемую технику или загубить все исследуемые биологические объекты. Так, например, врач, имплантирующий электроды в улитку для кохлеарного протезирования (см. § 6.5), должен иметь вероятностные представления о расположении улитки слухового аппарата. Казалось бы, наиболее достоверно такие сведения можно было получить при сплошном патологоанатомическом вскрытии всех умерших с производством соответствующих замеров. Однако достаточно собрать нужные сведения при выборочных измерениях.
Большая статистическая совокупность, из которой отбирается часть объектов для исследования, называется генеральной совокупностью, а множество объектов, отобранных из нее, — выборочной совокупностью, или выборкой.
Свойство объектов выборки должно соответствовать свойству объектов генеральной совокупности, или, как принято говорить, выборка должна быть представительной (репрезентативной). Так, например, если целью является изучение состояния здоровья населения большого города, то нельзя воспользоваться выборкой населения, проживающего в одном из районов города. Условия проживания в разных районах могут отличаться (различная влажность, наличие предприятий, жилищных строений и т. п.) и, таким образом, влиять на состояние здоровья. Поэтому выборка должна представлять случайно отобранные объекты.
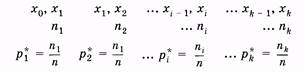
Если записать в последовательности измерений все значения величины х в выборке, то получим простой статистический ряд. Например, рост мужчин (см): 170, 169,.... Такой ряд неудобен для анализа, так как в нем нет последовательности возрастания (или убывания) значений, встречаются и повторяющиеся величины. Поэтому целесообразно ранжировать ряд, например, в возрастающем порядке значений и указать их повторяемость. Тогда статистическое распределение выборки:171, 172, 172, 168,

(3.1)
Здесь xi — наблюдаемые значения признака (варианта); ni — число наблюдений варианты xi (частота); рi* — относительная частота.
|
Общее число объектов в выборке (объем выборки)
всего k вариант. Статистическое распределение — это совокупность вариант и соответствующих им частот (или относительных частот), т. е. это совокупность данных 1-й и 2-й строки или 1-й и 3-й строки в (3.1).
В медицинской литературе статистическое распределение, состоящее из вариант и соответствующих им частот, получило название вариационного ряда.
Наряду с дискретным (точечным) статистическим распределением, которое было описано, используют непрерывное (интервальное) статистическое распределение:
|
(3.2)
Здесь xi-1, xi - i- йинтервал, в котором заключено количественное значение признака; ni — сумма частот вариант, попавших в этот интервал; р*i — сумма относительных частот.
В качестве примера дискретного статистического распределения укажем массы новорожденных мальчиков (кг) и частоты (табл. 5).
Таблица 5
![]() |
Общее количество мальчиков (объем выборки)
(3.3)
Можно это распределение представить и как непрерывное (интервальное) (табл. 6).
