Антиадгезивные белки
Остеонектин – (син SPARC) кислый белок богатый цистеином. Состоит из 4 доменов, к двум может присоединяться кальций. Ингибирует G1-S-фазу роста эндотелиальных клеток.
Тромбоспондин – в клетках роговицы глаза и тромбоцитах проявляет адгезивные свойства, а в клетках эндотелия и фибробластах функционирует как антиадгезивный белок.
ГЛИКОПРОТЕИНЫ – соединения, в молекулах которых остатки олиго- или полисахаридов связаны с полипептидными цепями белка ковалентно (О- или N-гликозидными связями). Гликопротеины широко распространены не только в соединительной ткани, но и в природе в целом. К ним относят компоненты плазмы крови (иммуноглобулины, трансферрины...), вещества, определяющие группу крови, некоторые гормоны, лектины, ферменты, антигены многих вирусов (гриппа, кори, энцефалита...).
ü гидроксилизин – в комбинации с галактозой (Gal)
ü гидроксипролин – в комбинации с галактозой (или арабинозой)
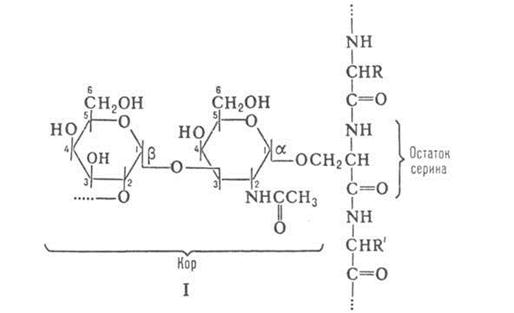
ü В отличие от обычных белков полипептидные цепи О-гликозилпротеинов, сильно обогащены остатками серина и треонина, которые чаще всего находятся в узле углевод-белковой связи. К серину могут присоединяться N-ацетилглюкозамин (GlcNAc), манноза (Man) и галактоза, к треонину – фукоза (Fuс), однако подавляющее большинство таких гликопротеинов содержит в узле углевод-белковой связи один и тот же дисахаридный фрагмент из остатков галактозы и N-ацетилгалактозамина (GalNAc) – имеет строение Galβ1–3GalNAcα1 (цифры обозначают номера атомов С в моносахаридах, а греч. буквы – конфигурацию аномерного атома С) (его называют «кор» или стержень). Кор связан с атомом О гидроксильной группы остатка серина или треонина (см. рисунок). За кором в составе углеводных цепей таких гликопротеинов могут следовать остатки N-ацетилглюкозамина, L-фукозы и(или) N-ацетилнейраминовой к-ты (NeuAc).

N-гликозидная углевод-белковая связь образуется с участием N-амидной группы аспарагина в полипептидной цепи, т.е. N-гликозилпротеины связаны гликозил-амидными связями. В гликопротеинах с атомом N амидной группы аспарагина соединен N-ацетилглюкозамин. В этом случае кор углеводной цепи гликопротеинов – пентасахарид:







