Цели системы маркетинга
Какова же истинная цель маркетинга? Предлагаются и альтернативные варианты.
1) Достижение максимально возможного высокого потребления. Многие руководители делового мира считают, что цель маркетинга - облегчить и стимулировать максимально высокое потребление, которое в свою очередь создает условия для максимального роста производства, занятости и богатства. То есть, за этим кроется утверждение, что чем больше люди покупают и потребляют, тем счастливее они становятся. Однако некоторые сомневаются в том, что возросшая масса материальных благ несет с собой и больше счастья («Звезды» Голливуда).
2) Цель - достижение максимальной потребительской удовлетворенности. То есть, владение более обширным набором вещей что-то значит только в том случае, если ведет в конечном итоге к более полной потребительской удовлетворенности.
Однако степень потребительской удовлетворенности очень трудно измерить. Во-первых, нет количественного показателя, которым можно измерить полное удовлетворение каким-либо товаром, во-вторых, конкретное удовлетворение от конкретных «благ» не учитывает «зло», такое, как загрязнение окружающей среды. Следовательно, дать оценку системе маркетинга на основе показателей удовлетворенности, которую она приносит общественности, весьма затруднительно.
|
|
|
3) Предоставление максимально широкого выбора. Эта цель означает обеспечение максимально возможного разнообразия товаров и предоставление потребителю максимально широкого выбора.
Но, максимальное расширение потребительского выбора требует больших затрат. Во-первых, товары и услуги станут дороже, т.к. большое разнообразие вызовет рост издержек по из производству; во-вторых, потребителям придется тратить много времени на знакомство и оценку товаров и услуг; в-третьих, увеличение числа товаров не означает для потребителя расширения возможности реального выбора. Так, многие товары одинакового качества имеют различные марки. Это лишь марочное изобилие и потребителю предоставляется мнимый выбор (пиво).
4) Максимальное повышение качества жизни. Это понятие складывается из:
1) качества, количества, ассортимента, доступности и стоимости товаров;
2) качества физической среды;
3) качества культурной среды.
Большинство соглашается с тем, что для системы маркетинга повышение качества жизни - цель благородная, но признает, что качество это измерить нелегко, а толкования его порой противоречит друг
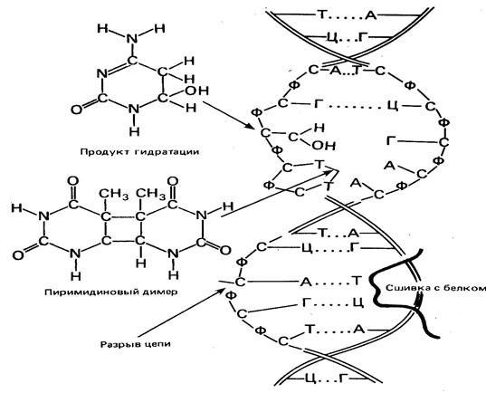
На уровне одного нуклеотида:
• Отсутствие основания (депуринизация)
• Некомплементарное основание
• Нарушенное основание (дезаминирование)
Структурные:
• Одноцепочечные разрывы
• Образование неспецифических
связей между цепями (тиминовые димеры и поперечные сшивки)
• Двухцепочечные разрывы

Рисунок Основные типы повреждений, обнаруженные в ДНК (Smit K., 1972)






