Существуют определённые правила построения сетевого графика:
1. Для удобства построения сетевого графика направление стрелок следует принимать слева направо, избегая по возможности пересечения линий.
2. Нумерация (кодирование) событий должна соответствовать последовательности работ во времени, т.е. предшествующим событиям присваиваются меньшие номера.
3. Каждая работа должна иметь свой код. В случае выполнения параллельных работ, имеющих единое начало и окончание, необходимо вводить дополнительные события, иначе разные работы получат единое наименование.

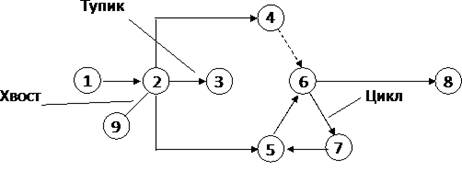
4. В сетевом графике не должно быть «тупиков», «хвостов» и циклов.
Тупик – это событие (кроме завершающего), из которого не выходит ни одна работа (например, событие 3).
Хвост – это событие (кроме исходного), в которое не входит ни одна работа (событие 9).
Цикл – замкнутый контур, в котором работы возвращаются к тому событию, из которого они вышли, например пути 5-6-7-5.

5. Нумерацию событий нужно производить только после полного построения сети и убеждённости, что технологически сеть построена правильно. Рекомендуется кодирование событий производить слева направо и сверху вниз.
6. Первоначальный вариант сетевого графика строится без учёта продолжительности составляющих его работ, обеспечивая только технологическую последовательность (в этом случае длина стрелок значения не имеет).






