— Эффект масштаба обусловлен размером операции. тогда как эффект опыта проявляется со временем. Именно временная составляющая различает эти эффекты. Путаница возникает из-за того, что по мере накопления опыта могут увеличиваться и масштабы.
— Второе различие в том, что эффекты масштаба проявляются всегда: деление постоянных затрат на большее число единиц товара обязательно означает снижение затрат на единицу товара. Выигрыш на издержках в результате опыта не проявляется спонтанно: он есть результат согласованных усилий по снижению издержек.
Поэтому эффект масштаба может возникать как следствие эффекта опыта. Например, стоимость финансовых ресурсов для фирмы должна снижаться по мере ее развития и получения доступа к другим, более дешевым финансовым источникам. Но эффекты масштаба существуют и независимо от эффектов опыта, и наоборот.
Закон опыта помогает понять, как возникает конкурентное преимущество, базирующееся на разнице издержек на единицу продукции у фирм, действующих на том же рынке и пользующихся теми же средствами производства. Можно так сформулировать стратегические следствия закона опыта.
— У фирмы, выпустившей наибольшее количество продукции, будут самые низкие издержки, если она правильно реализовала эффект опыта.
— Фирма, стремящаяся к расширению, будет стремиться как можно скорее спуститься по своей кривой опыта, чтобы получить преимущество по издержкам перед своими прямыми соперниками.
— В этих обстоятельствах цель заключается в том, чтобы расти быстрее конкурентов; это подразумевает рост своей доли рынка.
— Цель быстрого роста легче всего достижима на начальном этапе, когда эффект опыта наиболее значителен.
— Самый эффективный путь завоевания доли рынка состоит в установлении цены проникновения, т. е. в фиксации цены на уровне, предугадывающем ее будущие снижения.
Закон опыта не универсален; он реализуется главным образом в секторах, где крупное производство дает экономическое преимущество и где эффект обучения значителен. Типичные ситуации, где этот закон малоэффективен, таковы.
— Потенциал обучения мал или доля добавленной стоимости незначительна.
— Конкурент имеет доступ к привилегированному источнику ресурсов, что дает ему преимущество по издержкам независимо от его доли рынка.
— Конкурент с малой долей рынка технологически превосходит другие фирмы, т.е. пользуется более выраженным эффектом опыта.
— Различия в опыте быстро нейтрализуются нововведениями в товаре или в технологии, ведущими к новой кривой опыта.
— На рентабельность, помимо доли рынка, влияют другие факторы, например законодательство или дифференциация, важная для покупателей.
Последнее обстоятельство особенно важно. У фирмы, действующей на рынке, лидер которого имеет непреодолимое преимущество по издержкам, есть два следующих способа защиты.
— Принять стратегию дифференциации. Она поможет скомпенсировать разрыв в себестоимости повышением цены, которая будет принята рынком благодаря отличительным свойствам товара.
— Принять стратегию, основанную на технологической инновации, позволяющей выйти на более крутую кривую опыта, тем самым нейтрализуя преимущество лидера по издержкам.
Итак, закон опыта далеко не универсален. Противное означало бы, что все "мелкие конкуренты" с малой долей рынка заведомо обречены на невысокие экономические показатели и, следовательно, на исчезновение. Очевидно, однако, что факты противоречат этому предположению (Hamermesch, Anderson and Harris, 1978). Поэтому применение данного закона требует осторожности.
Итак, стратегия, базирующаяся на законе опыта, ориентирует фирму на очень агрессивную коммерческую политику в отношении цены продаж.
Кривая опыта — результат совместного эффекта обучения, специализации, инвестиций и масштаба. Эффект каждого из этих элементов известен лишь приблизительно, и, таким образом, эффект кривой опыта также является некоторым приближением.
Комбинация этих факторов приведет к более резкому снижению затрат, то есть к более крутому наклону кривой опыта, чем это обычно наблюдается. Однако к обычным затратам добавляются некоторые дополнительные общепроизводственные издержки для координации и планирования этих изменений.
Не все издержки имеют одинаковую базу накапливаемого опыта. Кроме того, некоторые составляющие стоимости имеют общий с другими продуктами опыт производства.
Следовательно, только новые и уникальные продукты с совершенно новыми составляющими стоимости могут повлиять на снижение издержек кривой опыта с максимальным наклоном.
Таблица 7.2 - Краткий сравнительный анализ эффектов опыта и масштаба
| Эффект масштаба | Эффект опыта |
| Производственный эффект масштаба - зависимость удельной себестоимости произведенной продукции от объема выпуска. Маркетинговый эффект масштаба зависимость удельных затрат на продвижение и сбыт от объема реализации продукции | Производственный эффект опыта — зависимость удельной себестоимости произведенной продукции от совокупного объема произведенной продукции. Маркетинговый эффект опыта — зависимость удельных затрат на продвижение и сбыт от совокупного объема реализации продукции |
| |
| Функциональная зависимость: | |
| имеет минимум, где Qопт. — оптимальный объем выпуска, при котором достигается минимальная удельная себестоимость продукции | убывающая |
| Издержки на единицу продукции: | |
| уменьшаются при любом увеличении объема производства (сбыта, продвижения) Qопт., а затем увеличиваются | уменьшаются на фиксированный процент при каждом удвоении объема выпускаемой продукции |
| Эффект: | |
| обусловлен размером операции и проявляется всегда при ее увеличении | проявляется со временем и является результатом согласованных усилий по снижению издержек |
Несмотря на определенное сходство рассматриваемых эффектов, приводящих к снижению издержек, очевидно, что их природа различна. В таблице 7.2 приведена сравнительная характеристика эффекта опыта и экономии на масштабах.
Эффект масштаба существует независимо от эффекта опыта, и наоборот. Но по мере накопления опыта могут увеличиваться масштабы, т. е. эффект масштаба может возникнуть как следствие эффекта опыта.
Вопрос оптимизации масштабов производственной деятельности с целью максимизации прибыльности организации подробно рассмотрен в литературе по экономике предприятий. Здесь более подробно остановимся на рассмотрении эффекта опыта как инструмента стратегического анализа издержек.
Прежде всего, следует понимать, что сам по себе опыт не дает снижения издержек, а обеспечивает возможность для их снижения. Это может происходить как результат обучения, реализуемого по мере роста суммарного объема выпуска продукции. Выявлены многочисленные факторы, которые по мере приобретения опыта влияют на снижения издержек. Можно выделить следующие источники эффекта опыта, находящиеся под прямым контролем фирмы:
- эффективность ручного труда. Это связано в основном с улучшением работниками приемов выполнения повторяющихся операций, овладением новыми способами и методами работы, приобретением навыков и сноровки и т. п. Соответственно, в отраслях с большой долей ручного труда данный эффект проявляется в большей степени;
- специализация по видам и методам работы приводит к повышению производительности труда;
- новые производственные процессы. Это в первую очередь технологические инновации: автоматизация, роботизация, компьютеризация производственных процессов;
- эффективное использование оборудования посредством повышения его производительности через новаторские подходы;
- изменения в использовании ресурсов. Например, переход на более дешевые ресурсы, в том числе на менее квалифицированный персонал по мере совершенствования технологии;
- новая концепция товара. Большее представление о том, что ожидает от продукции потребитель и что он оценивает как качество. Это дает возможность использовать меньше ресурсов.
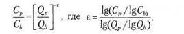
Кривая опыта может иметь следующее математическое представление:

где Ср — плановые (предвидимые) единичные издержки; Сь — базовые единичные издержки (себестоимость); Qр — предвидимый суммарный объем продукции; Qь — базовый суммарный объем продукции; ε — эластичность единичных издержек, которая определяется так:

Так как эффект опыта основан на гипотезе о снижении единичных издержек на фиксированный процент при удвоении объема продукции, мы имеем:

где 2-ε = λ — наклон кривой опыта, который характеризует степень снижения издержек по сравнению с начальным значением.
На практике значения наклона кривой опыта лежат в пределах от 70% (значительный эффект опыта) до 100 % (нулевой эффект).
У фирм одного размера, имеющих равный опыт производственной деятельности, наклон кривой опыта может быть различен. Это определяется тем, в какой степени использует свой потенциал опыта конкретная фирма, что, в свою очередь, приводит к различиям в себестоимости продукции.
На рис. 7.3 приведен пример различного использования процесса обучения гипотетическими фирмами, достигшими одинакового суммарного выпуска продукции. Очевидно, что фирма «А» лучше использовала эффекты опыта, и ее наклон кривой меньше, чем у фирм «В» и «С», соответственно, ниже издержки на единицу продукции.
Значение эффектов опыта для конкретной фирмы зависит не только от наклона присущей ей кривой опыта, но также и от скорости, с которой она приобретает опыт. Следовательно, в СЗХ с высокими темпами роста способность снижать издержки будет выше.
Установлено, что темп снижения издержек связан с отраслевыми особенностями. Например, для автомобильной промышленности наклон кривой опыта равен 0,88 (средний темп снижения издержек — 12%), для металлургической отрасли — 0,8 (средний темп снижения издержек — 20%), для производства интегральных микросхем — 0,6 (средний темп снижения издержек — 40%), для производства телевизоров — 0,85 (средний темп снижения издержек — 15%).

Рисунок 7.3 - Пример кривых опыта гипотетических фирм
Данные о средних издержках для различных секторов промышленности можно использовать, когда возникают трудности, связанные с недоступностью данных по издержкам конкурентов. В этом случае предполагается, что все конкуренты на рынке имеют одну и ту же кривую опыта. Это возможно при использовании ими более или менее сходной технологии.
Стратегия, базирующаяся на законе опыта, ориентирует фирму на увеличение доли рынка через агрессивную коммерческую политику установлением цены проникновения, т. е. фиксации цены на уровне, предполагающем ее будущее снижение. Таким образом, фирма, стремящаяся к расширению, будет стремиться ускорить «процесс обучения», чтобы получить преимущество по издержкам перед своими прямыми конкурентами. Стратегические следствия эффекта опыта представлены на рис. 7.4.
Для фирмы быстрый рост как стратегия развития легче всего достижим на начальном этапе, когда эффект опыта наиболее значителен. Если доля рынка фирмы быстро растет, потенциал снижения издержек особенно важен.

Рисунок 7.4 - Стратегические следствия эффекта опыта
Стратегическая важность закона опыта обусловлена тем, что он:
- позволяет прогнозировать эволюцию издержек не только для собственной продукции, но и для продукции конкурентов;
- позволяет своевременно выявлять необходимость изменения стратегии;
- является индикатором для проверки приемлемости рассматриваемых стратегий на ранних этапах.
Эффект опыта, если фирма его правильно реализовала и способна защитить преимущества приобретаемого опыта, ведет к созданию барьера входа для новых фирм и преимуществу по издержкам для лидера. Кроме этого, большая доля рынка корреспондируется с большими финансовыми потоками, которые можно реинвестировать в повышение производительности, усиливающее конкурентные преимущества фирмы.
Вместе с тем следует отметить, что стратегии, базирующиеся на опыте, в основном применимы в случае массового производства, где доля добавленной стоимости значительна, а также в отраслях, чувствительных к объему производства, когда рентабельность тесно связана с долей рынка.
Используя закон опыта как средство анализа, необходимо также учитывать, что кривые опыта строятся на основе экстраполяционных данных по издержкам на единицу продукции и по данным суммарных объемов выпуска. Соответственно, их достоверность зависит от стабильности условий, в которых проводились наблюдения.