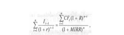
Внутренняя норма доходности предполагает реинвестирование полученных доходов по ставке IRR. Для корректного учета реинвестирования используется модифицированная внутренняя норма доходности, общая формула расчета которого имеет вид:
![]() |
где R — месячная норма прибыли при реинвестировании, МIRR — месячная модифицированная внутренняя норма доходности.
Из этой формулы для расчета MIRR получим следующую формулу:

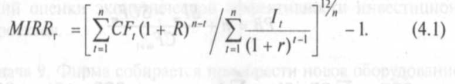
Для автоматизации расчета MIRR используется функция МВСД:
МIRR= (МВСД(денежный поток; r, R) + 1)(n-1)/n - 1.
МIRR может применяться при анализе любых проектов, т. е. и неординарных.
Отметим, что годовая модифицированная внутренняя норма доходности МIRR, будет равна
![]() |








